Fig. 1.

Download original image
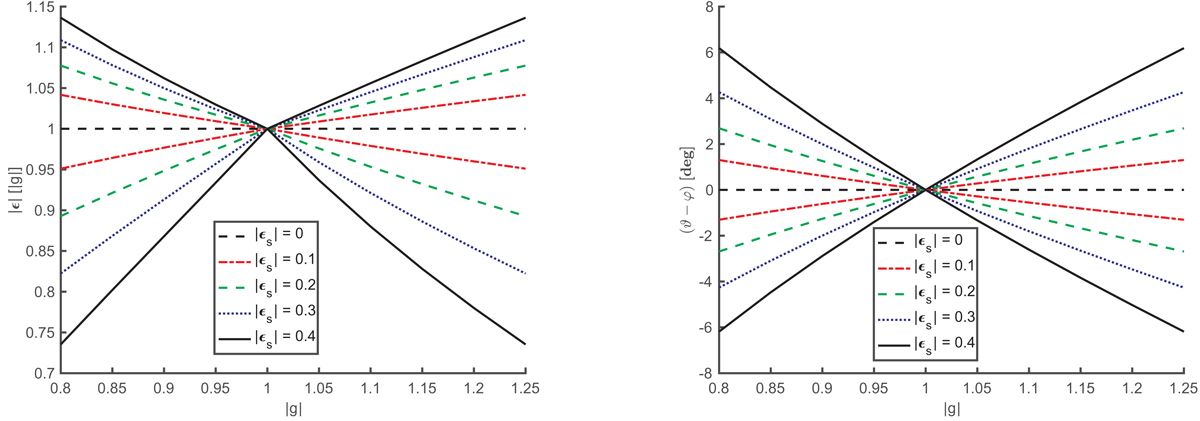
Maximum influence of source properties in terms of the complex source quadrupole ellipticity ϵs on the inference of the complex (reduced) shear g when observing the complex image quadrupole ellipticity ϵ close to the critical curve at which |g| = 1. The left plot shows the absolute value of Eqs. (26) and (27) for source quadrupoles aligned parallel and anti-parallel to the (reduced) shear. |ϵ| is larger than |g| when φ − ϑs = 0, while the opposite occurs when φ − ϑs = π/2. The right plot shows the relative orientation between the measured orientation ϑ of the image quadrupole and the orientation of the (reduced) shear φ for these source ellipticities. Here, as plotted, the maximum deviation occurs for φ − ϑs = ±π/4.
Current usage metrics show cumulative count of Article Views (full-text article views including HTML views, PDF and ePub downloads, according to the available data) and Abstracts Views on Vision4Press platform.
Data correspond to usage on the plateform after 2015. The current usage metrics is available 48-96 hours after online publication and is updated daily on week days.
Initial download of the metrics may take a while.