Fig. 1.

Download original image
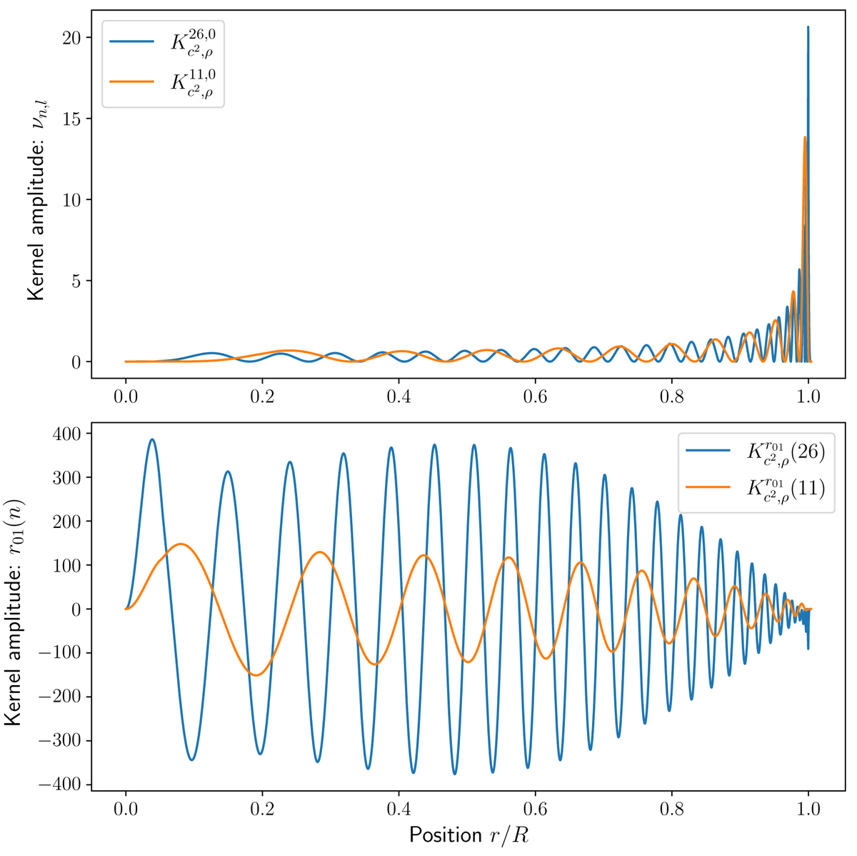
Frequency kernels versus ratio kernels of the model 1.3MoAGSS from Sect. 3.1. For both panels, we show the kernel amplitude as a function of the position, and for the structural variable pair (c2, ρ). Upper panel: low-order (l = 0, n = 11) and high-order (l = 0, n = 26) kernels for the individual frequencies, respectively in orange and blue. Lower panel: low-order (n = 11) and high-order (n = 26) kernels for the frequency separation ratios, respectively in orange and blue.
Current usage metrics show cumulative count of Article Views (full-text article views including HTML views, PDF and ePub downloads, according to the available data) and Abstracts Views on Vision4Press platform.
Data correspond to usage on the plateform after 2015. The current usage metrics is available 48-96 hours after online publication and is updated daily on week days.
Initial download of the metrics may take a while.