Open Access

Fig. 6

image

Download original image

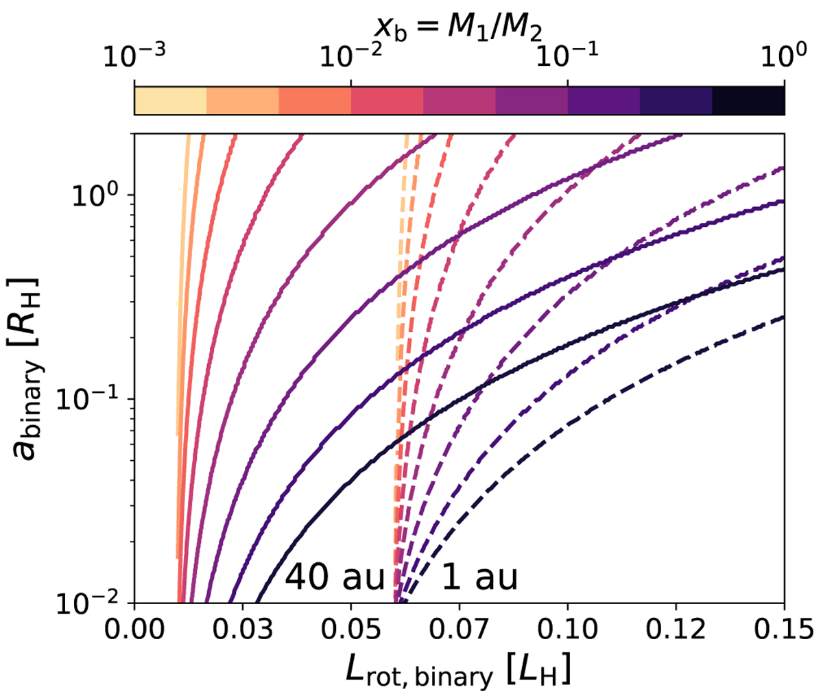
Possible binary configurations for a given rotational angular momentum budget (Lrot,binary) at two distances from the central star (40 au, solid; 1 au, dashed), assuming that the components themselves spin at near-breakup rates with density ρp = 1. When Lrot,binary < 0.06 LH, only single planetesimals are formed at 1 au as the breakup spin exceeds the angular momentum budget, whereas this critical value lies between 0.02 and 0.03 LH at 40 au. Large amounts of rotational angular momentum ≳0.1 LH can only be contained in binaries with increasingly wide mutual orbits and increasingly similar masses, especially in the outer disk.

Current usage metrics show cumulative count of Article Views (full-text article views including HTML views, PDF and ePub downloads, according to the available data) and Abstracts Views on Vision4Press platform.

Data correspond to usage on the plateform after 2015. The current usage metrics is available 48-96 hours after online publication and is updated daily on week days.

Initial download of the metrics may take a while.