Fig. A.1

Download original image
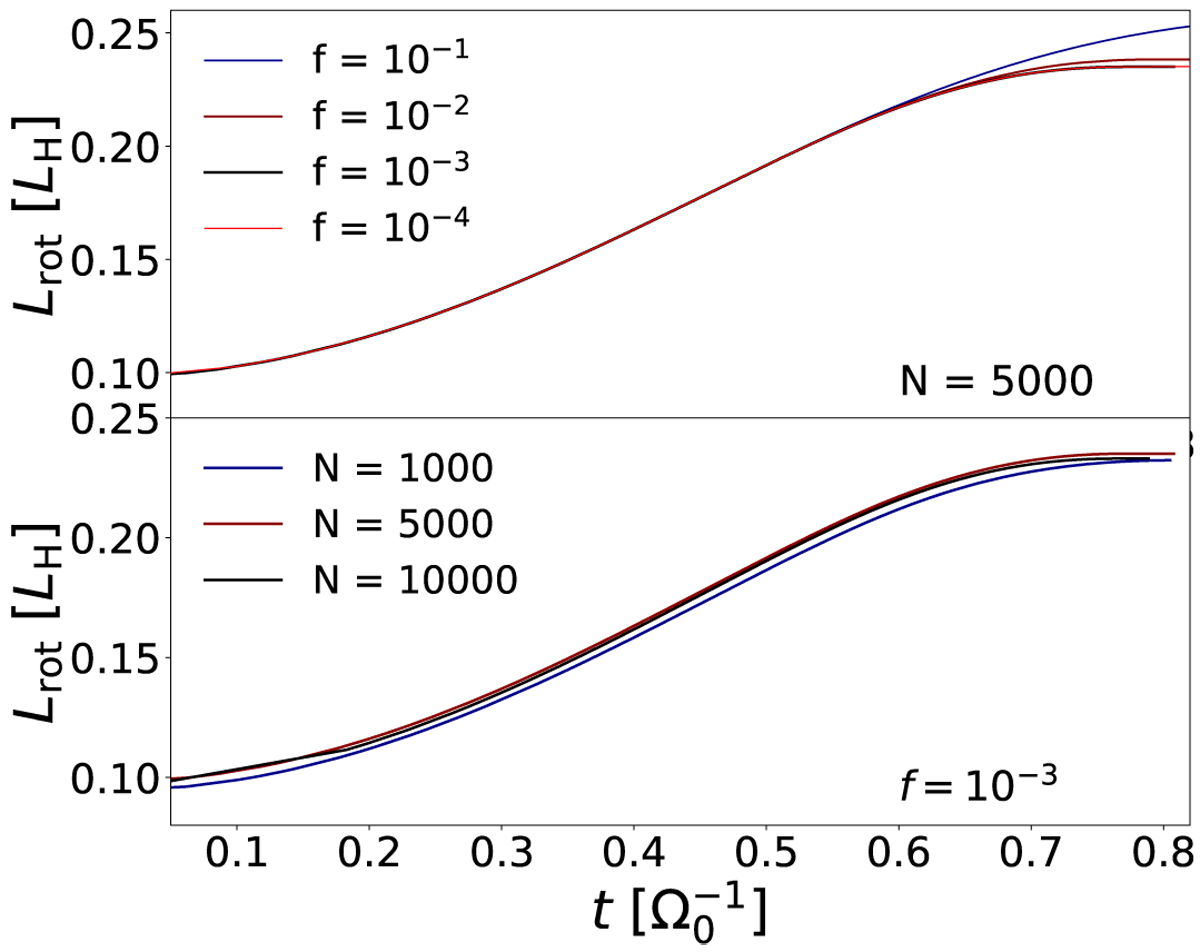
Dependence of the prograde spin-up over time on numerical parameters. Top: variation of the filling factor of the simulation box between 10−4 ≤ f ≤ 10−1. The runs correspond to Nn = 5000 numerical particles and are run at 5 AU. Bottom: variation of the number of numerical particles 103 ≤ Nn ≤ 104, computed with a filling factor of f = 10−3. The magnitude of prograde spin-up is found to be insensitive to these numerical parameters.
Current usage metrics show cumulative count of Article Views (full-text article views including HTML views, PDF and ePub downloads, according to the available data) and Abstracts Views on Vision4Press platform.
Data correspond to usage on the plateform after 2015. The current usage metrics is available 48-96 hours after online publication and is updated daily on week days.
Initial download of the metrics may take a while.