Open Access
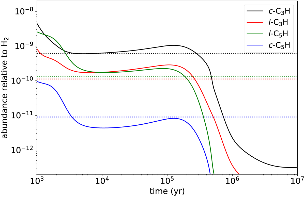
Fig. 4.

Download original image
Calculated fractional abundances of the cyclic and linear isomers of C3H and C5H as a function of time. The abundances observed in TMC-1 for the isomers of C3H (Loison et al. 2017) and C5H (this study) are indicated by dotted horizontal lines.
Current usage metrics show cumulative count of Article Views (full-text article views including HTML views, PDF and ePub downloads, according to the available data) and Abstracts Views on Vision4Press platform.
Data correspond to usage on the plateform after 2015. The current usage metrics is available 48-96 hours after online publication and is updated daily on week days.
Initial download of the metrics may take a while.