Fig. 4.

Download original image
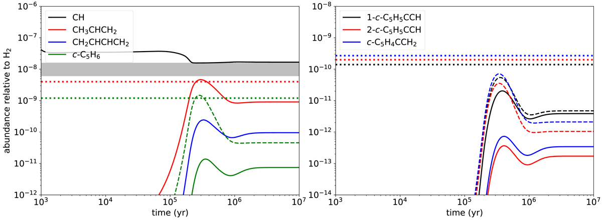
Calculated abundances for c-C5H6 and its precursors (left panel) and for the products of its reaction with CCH (right panel). Solid lines correspond to the standard chemical model, while dashed lines correspond to a model including formation of c-C5H6 involving the reaction l-C3H + C2H4 (see text). The horizontal band and dotted lines correspond to the abundances observed in TMC-1 (see Table A.1).
Current usage metrics show cumulative count of Article Views (full-text article views including HTML views, PDF and ePub downloads, according to the available data) and Abstracts Views on Vision4Press platform.
Data correspond to usage on the plateform after 2015. The current usage metrics is available 48-96 hours after online publication and is updated daily on week days.
Initial download of the metrics may take a while.