Fig. 5

Download original image
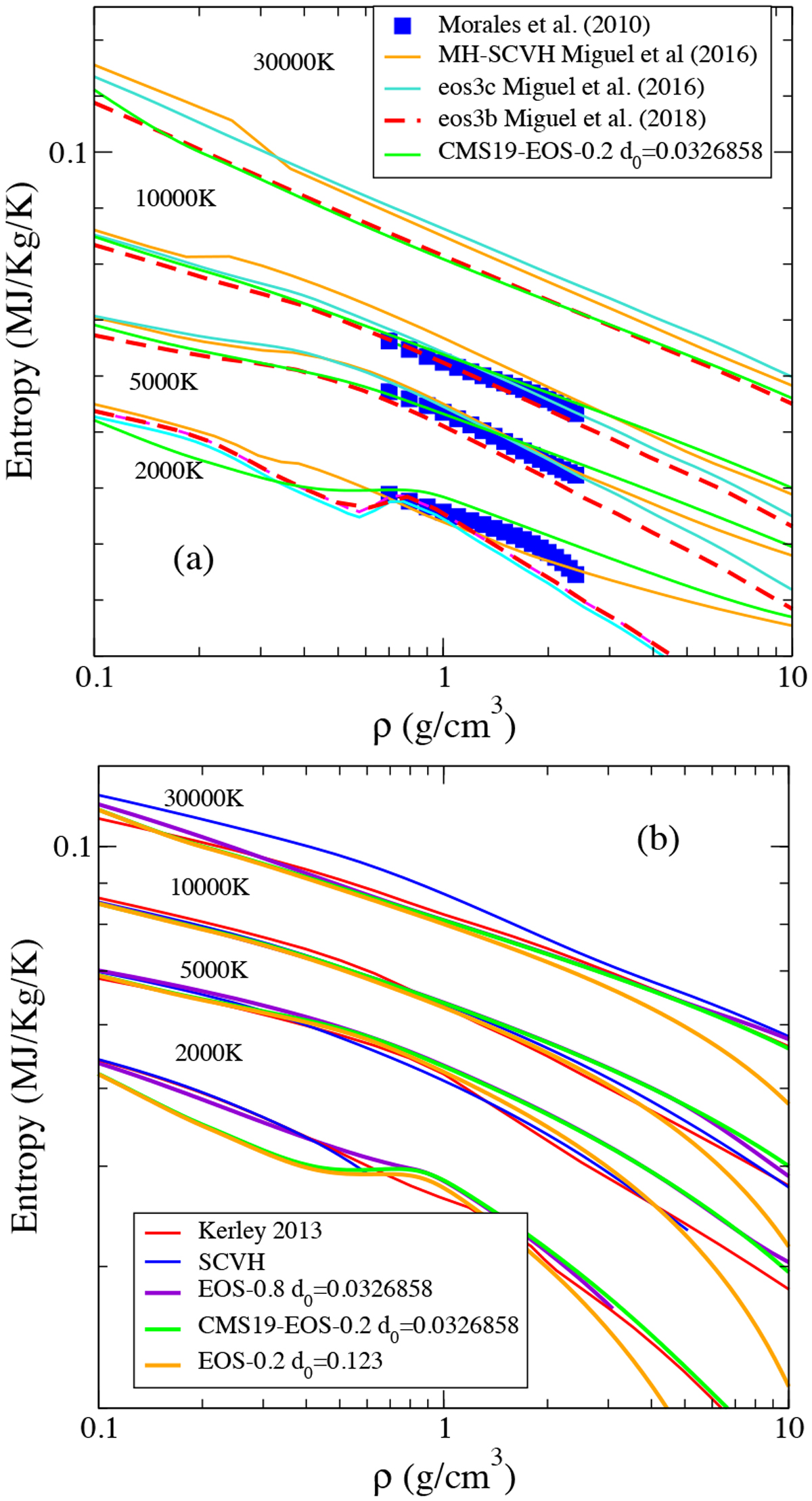
Variation of the hydrogen entropy as a function of density for isotherms relevant to Jupiter modeling. (a) Comparison between the various ab initio predictions and the coupled electron-ion Monte Carlo result (Morales et al. 2010). (b) Comparison of the CMS-EOS-0.2 d0 = 0.0326858 EOS for hydrogen, with results considering interpolation in a large density range; EOS-0.8 d0 = 0.0326858, or adjusting the high-pressure behavior; EOS-0.2 d0 = 0.132, with the SCVH predictions; and another often used physically based EOS (Kerley 2013).
Current usage metrics show cumulative count of Article Views (full-text article views including HTML views, PDF and ePub downloads, according to the available data) and Abstracts Views on Vision4Press platform.
Data correspond to usage on the plateform after 2015. The current usage metrics is available 48-96 hours after online publication and is updated daily on week days.
Initial download of the metrics may take a while.