Open Access

Fig. 10

image

Download original image

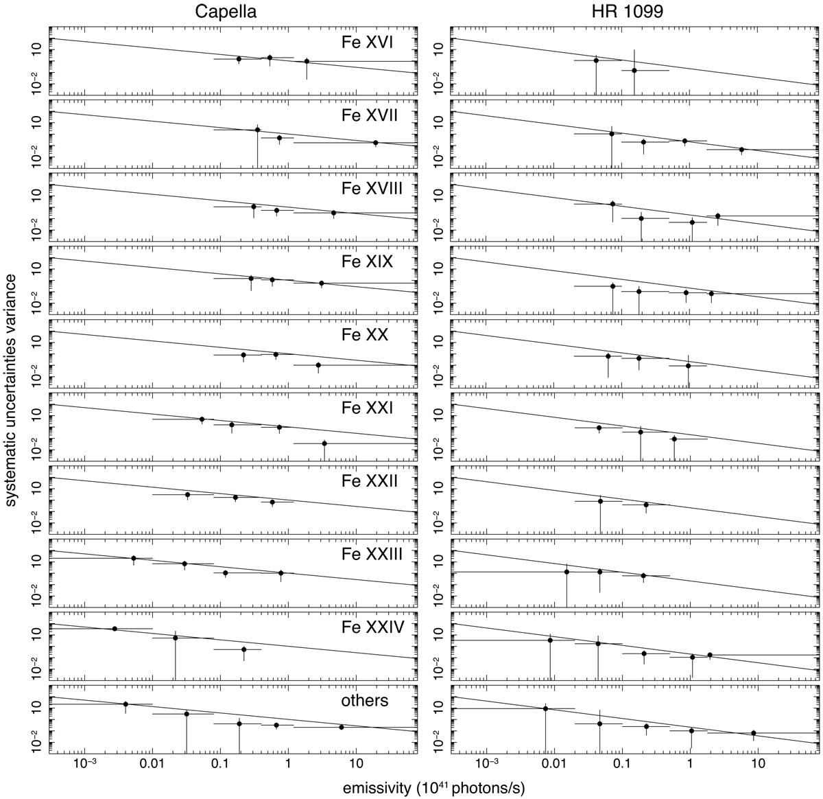
Variances of systematic uncertainties plotted as a function of line emissivities for individual ions based on the Capella (left) and HR 1099 (right) spectra. The solid lines are the same as in Figs. 2b and 4d.

Current usage metrics show cumulative count of Article Views (full-text article views including HTML views, PDF and ePub downloads, according to the available data) and Abstracts Views on Vision4Press platform.

Data correspond to usage on the plateform after 2015. The current usage metrics is available 48-96 hours after online publication and is updated daily on week days.

Initial download of the metrics may take a while.