Free Access

Fig. A.1

image

Download original image

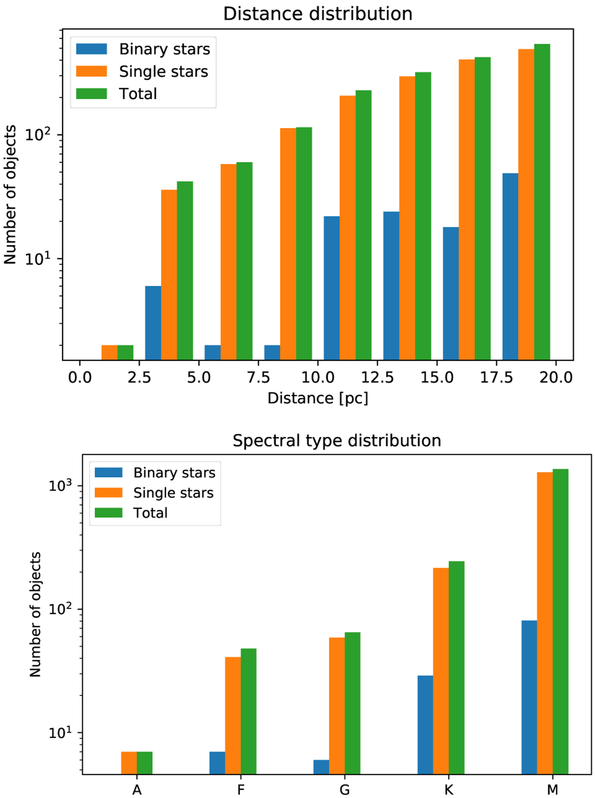
Properties of target stars considered in our study. Top panel: Distance distribution of stars from the stellar input catalog in bins of 2.5 pc. Single stars are shown in orange, wide binaries (see text) in blue, and the sum in green. Bottom panel: Spectral type distribution of stars from the stellar input catalog. Colors are the same as above.

Current usage metrics show cumulative count of Article Views (full-text article views including HTML views, PDF and ePub downloads, according to the available data) and Abstracts Views on Vision4Press platform.

Data correspond to usage on the plateform after 2015. The current usage metrics is available 48-96 hours after online publication and is updated daily on week days.

Initial download of the metrics may take a while.