Free Access
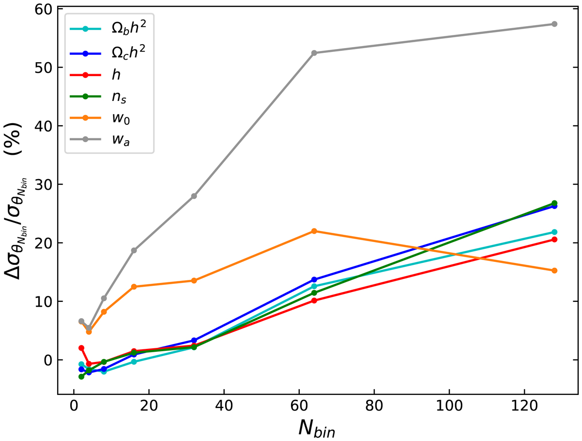
Fig. 5.

Download original image
Percentage difference between using or not information from RSD (Δσθ/σθ = σθ without/σθ with − 1) in the cosmological parameter constraints from BINGO. As and bH I were not included because they go from complete ignorance to constraints of about percent level.
Current usage metrics show cumulative count of Article Views (full-text article views including HTML views, PDF and ePub downloads, according to the available data) and Abstracts Views on Vision4Press platform.
Data correspond to usage on the plateform after 2015. The current usage metrics is available 48-96 hours after online publication and is updated daily on week days.
Initial download of the metrics may take a while.