Fig. 12.

Download original image
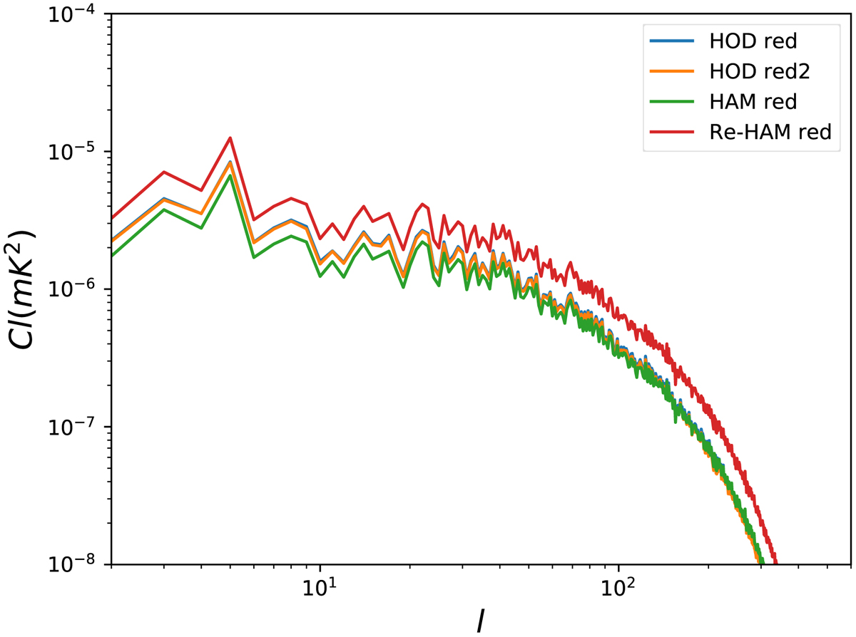
Comparison of the angular power spectrum of the HOD mock in real space and redshift space. The power in redshift space is higher than in real space at large scales because of the Kaiser effect. Regardless of whether we treat the H I gas in halos as point sources (red) or extended sources due to internal velocity dispersion (red2) in redshift space, the difference between them is not significant.
Current usage metrics show cumulative count of Article Views (full-text article views including HTML views, PDF and ePub downloads, according to the available data) and Abstracts Views on Vision4Press platform.
Data correspond to usage on the plateform after 2015. The current usage metrics is available 48-96 hours after online publication and is updated daily on week days.
Initial download of the metrics may take a while.