Fig. 16.

Download original image
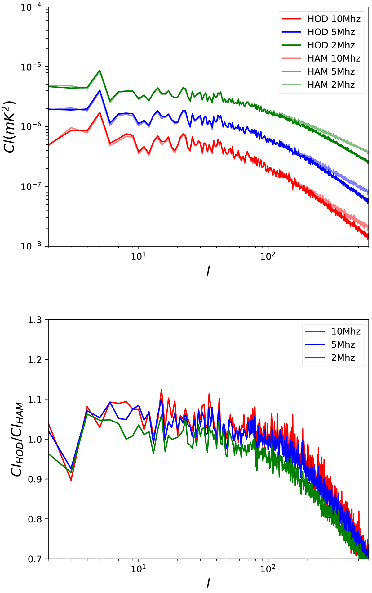
Comparison of HOD and HAM mocks in real space shown with 10 (5 and 2) MHz in red (blue and green). Upper panel: HOD results are shown as thick solid lines, and the HAM results are shown as faint solid lines. For better illustration, we artificially amplified the curves by 0.5 (1 and 2) times for 10 (5 and 2) MHz results. Lower panel: ratio of the angular power spectrum of the HOD mocks and HAM mocks. Clearly, HAM mocks have a higher angular power spectrum at small scales, and it depends weakly on the bin width.
Current usage metrics show cumulative count of Article Views (full-text article views including HTML views, PDF and ePub downloads, according to the available data) and Abstracts Views on Vision4Press platform.
Data correspond to usage on the plateform after 2015. The current usage metrics is available 48-96 hours after online publication and is updated daily on week days.
Initial download of the metrics may take a while.