Free Access
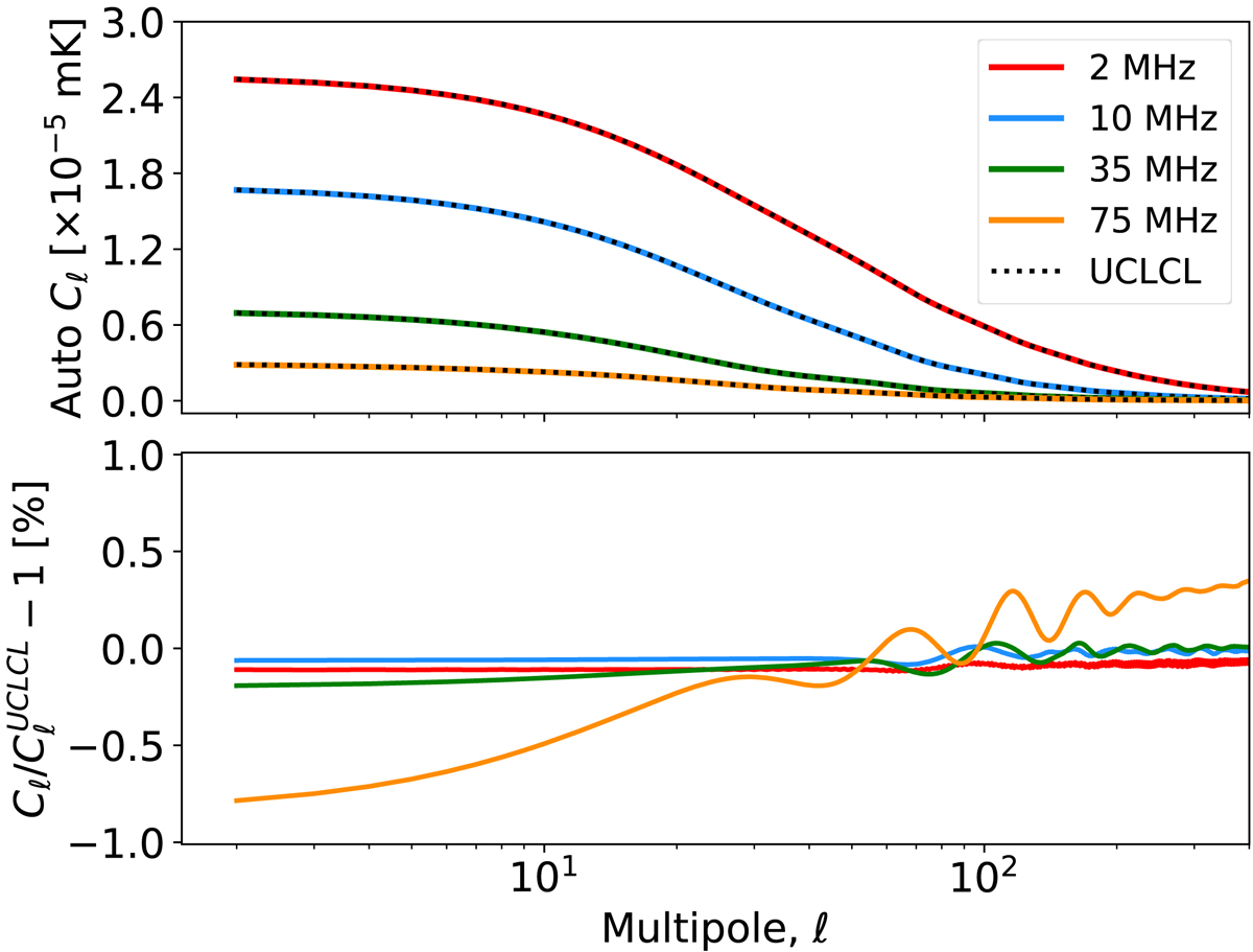
Fig. A.3.

Download original image
Comparison between the auto-correlation s calculated in this work and using the UCLCL code for four different bandwidths between 2 and 75 MHz, all of them centered at a frequency of 1110 MHz. Again, the upper panel shows the results overplotted and the lower panel shows the percentage difference among them.
Current usage metrics show cumulative count of Article Views (full-text article views including HTML views, PDF and ePub downloads, according to the available data) and Abstracts Views on Vision4Press platform.
Data correspond to usage on the plateform after 2015. The current usage metrics is available 48-96 hours after online publication and is updated daily on week days.
Initial download of the metrics may take a while.