Free Access
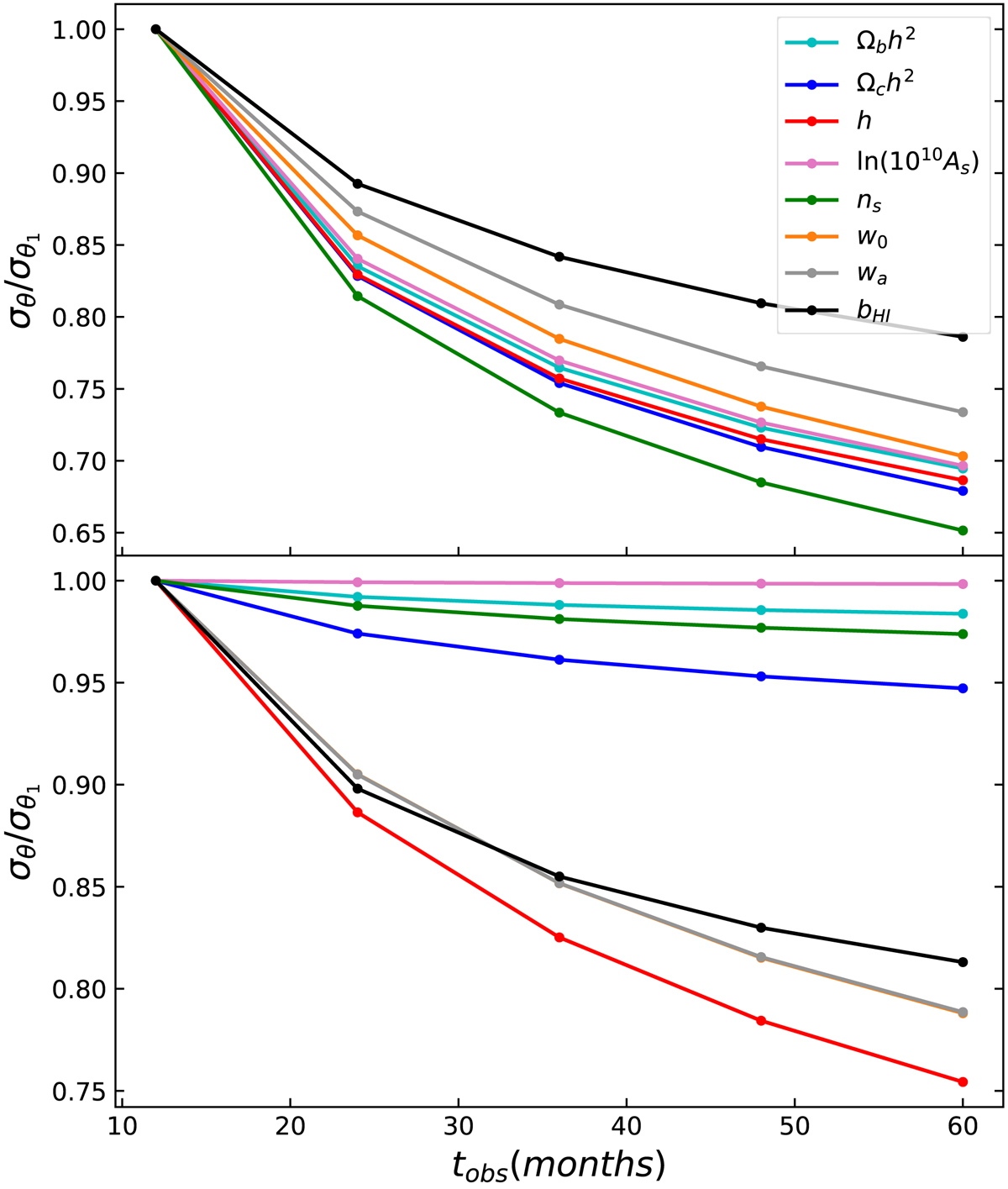
Fig. 5.

Download original image
Constraints on the cosmological and H I parameters as a function of the total observational time relative to those with tobs = 1 year for BINGO (top) and BINGO + Planck (bottom). We vary tobs in a range of [1, 2, 3, 4, 5] years. In the bottom plot wa is on top of w0, which cannot be seen.
Current usage metrics show cumulative count of Article Views (full-text article views including HTML views, PDF and ePub downloads, according to the available data) and Abstracts Views on Vision4Press platform.
Data correspond to usage on the plateform after 2015. The current usage metrics is available 48-96 hours after online publication and is updated daily on week days.
Initial download of the metrics may take a while.