Free Access
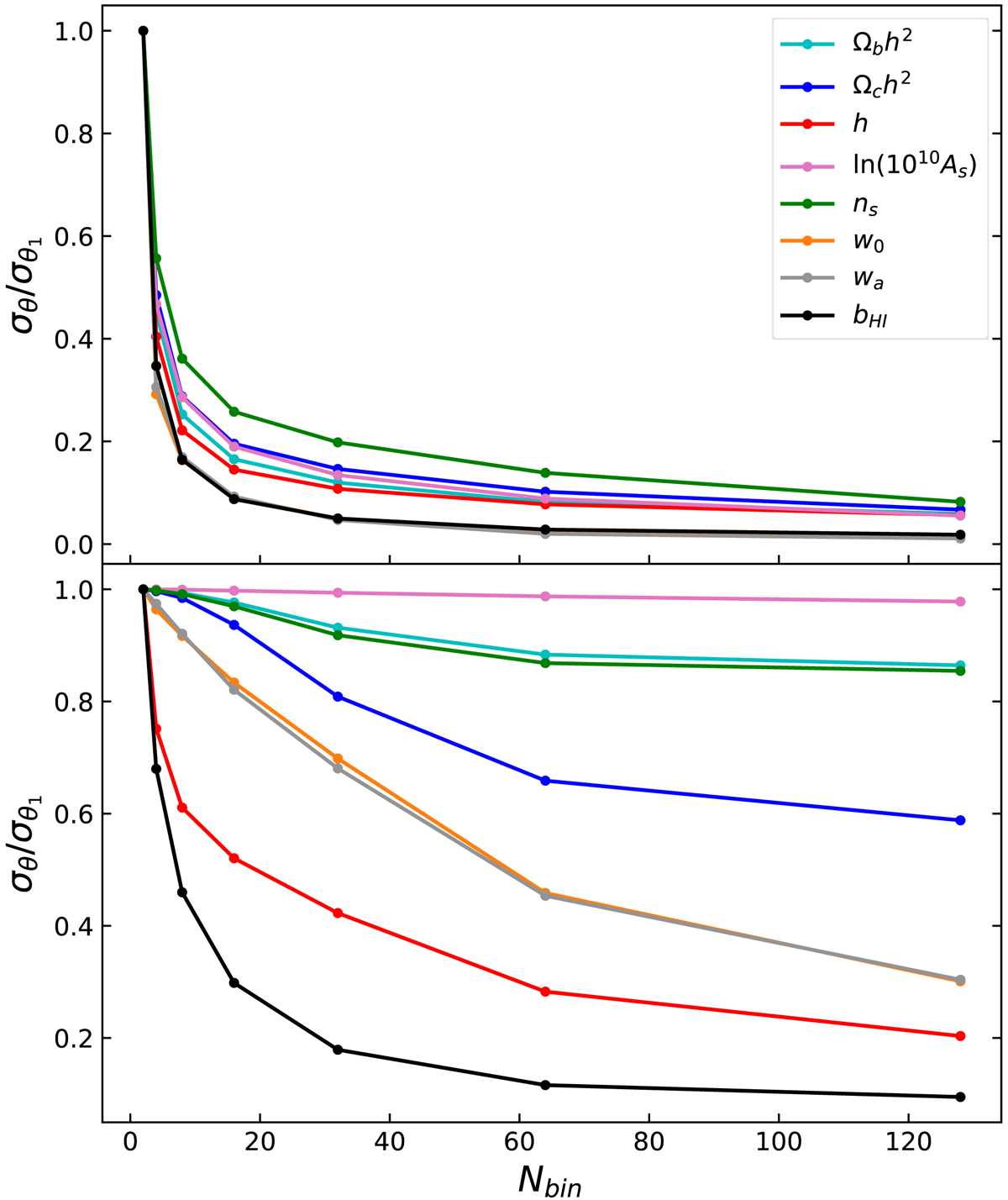
Fig. 7.

Download original image
Projected constraints on the cosmological and H I parameters as a function of the number of bins for BINGO (top) and BINGO + Planck (bottom). They show that w0, wa, and h can have their constraints further improved for Nbin > 30.
Current usage metrics show cumulative count of Article Views (full-text article views including HTML views, PDF and ePub downloads, according to the available data) and Abstracts Views on Vision4Press platform.
Data correspond to usage on the plateform after 2015. The current usage metrics is available 48-96 hours after online publication and is updated daily on week days.
Initial download of the metrics may take a while.