Free Access
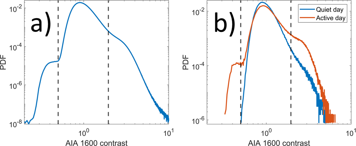
Fig. 5.

Download original image
Distribution of AIA 1600 Å pixel contrasts within 0.4 R⊙ disk. (a) All images from 1 March 2014 to 9 June 2017. (b) A quiet day (28 May 2017, blue line) and an active day (5 July 2014, orange line). Left dashed line: dark pixel threshold (I = 0.5). Right dashed line: bright pixel threshold (I = 1.95).
Current usage metrics show cumulative count of Article Views (full-text article views including HTML views, PDF and ePub downloads, according to the available data) and Abstracts Views on Vision4Press platform.
Data correspond to usage on the plateform after 2015. The current usage metrics is available 48-96 hours after online publication and is updated daily on week days.
Initial download of the metrics may take a while.