Fig. 20

Download original image
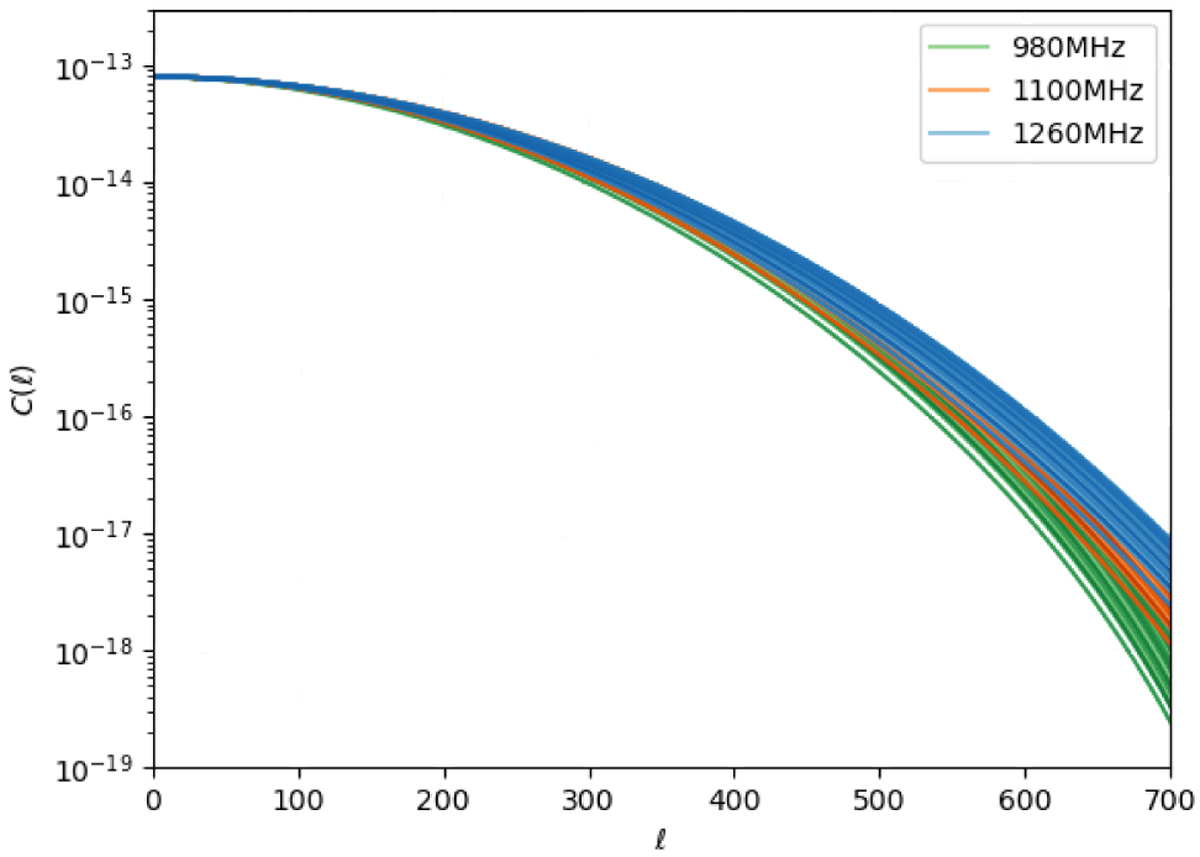
Auto-angular power spectra for the double-rectangular arrangement beams. We computed the spectrum for each one of the 28 horns of the arrangement for the frequencies of 980 MHz, 1100 MHz and 1260 MHz. We can see that low frequencies have lower power at high multipoles. The curves with similar shades of color correspond to the same frequency but different horns, so the reader can also see the affect due to the location in the optical plane. The intensities were previously normalized with respect to the integral over the simulated area yielding to an adimensional spectrum (with no units), which also represents the window function of the eventual survey.
Current usage metrics show cumulative count of Article Views (full-text article views including HTML views, PDF and ePub downloads, according to the available data) and Abstracts Views on Vision4Press platform.
Data correspond to usage on the plateform after 2015. The current usage metrics is available 48-96 hours after online publication and is updated daily on week days.
Initial download of the metrics may take a while.