Fig. 7

Download original image
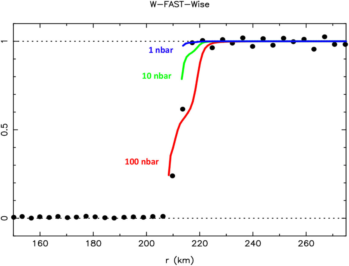
Comparison of various models assuming a Pluto-like atmosphere (see text for details) with the data obtained at the Wise station with the W-FAST instrument. The data points have been reprojected in the radial direction, merging the ingress and egress part of the light curve. The surface pressures used in each model are indicated next to each curve. The red model (psurf = 100 nbar) can clearly be discarded, considering its discrepancy with the observations. The green model (psurf = 10 nbar) could marginally accommodate the last point just outside the occultation and the rapid drop inside Huya’s shadow. The blue model (psurf = 1 nbar) indicates that a 1 nbar atmosphere would go completely unnoticed in the data. We thus estimate that a conservative upper limit of psurf = 10 nbar of a Pluto-like atmosphere is provided by this light curve.
Current usage metrics show cumulative count of Article Views (full-text article views including HTML views, PDF and ePub downloads, according to the available data) and Abstracts Views on Vision4Press platform.
Data correspond to usage on the plateform after 2015. The current usage metrics is available 48-96 hours after online publication and is updated daily on week days.
Initial download of the metrics may take a while.