Open Access
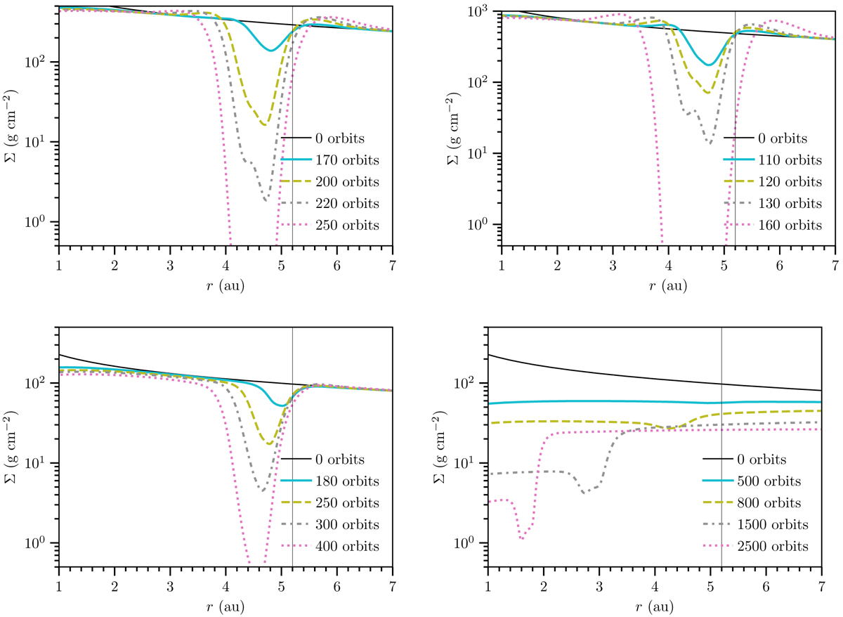
Fig. A.1

Download original image
Evolution of the surface density for the cases not shown in Fig. 3. Top left: Higher surface density (initially 300 g cm−2 at 5.2 au). Top right: Very high surface density (initially 500 g cm−2 at 5.2 au). Bottom left: Lower temperature (H/r = 0.04). Bottom right: Higher viscosity (1016 cm2 s−1).
Current usage metrics show cumulative count of Article Views (full-text article views including HTML views, PDF and ePub downloads, according to the available data) and Abstracts Views on Vision4Press platform.
Data correspond to usage on the plateform after 2015. The current usage metrics is available 48-96 hours after online publication and is updated daily on week days.
Initial download of the metrics may take a while.