Open Access
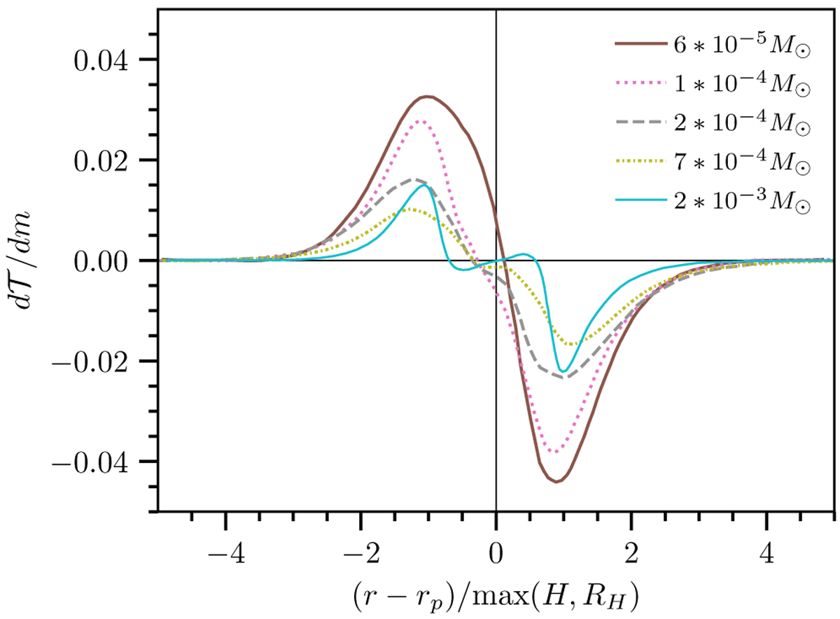
Fig. F.1

Download original image
Torque densities in units of for different planet masses taken from D'Angelo & Lubow (2010). The inversion developing as the mass increases is clearly seen near the origin. The high mass torque is obtained by an interpolation (see text Appendix F).
Current usage metrics show cumulative count of Article Views (full-text article views including HTML views, PDF and ePub downloads, according to the available data) and Abstracts Views on Vision4Press platform.
Data correspond to usage on the plateform after 2015. The current usage metrics is available 48-96 hours after online publication and is updated daily on week days.
Initial download of the metrics may take a while.