Fig. 3

Download original image
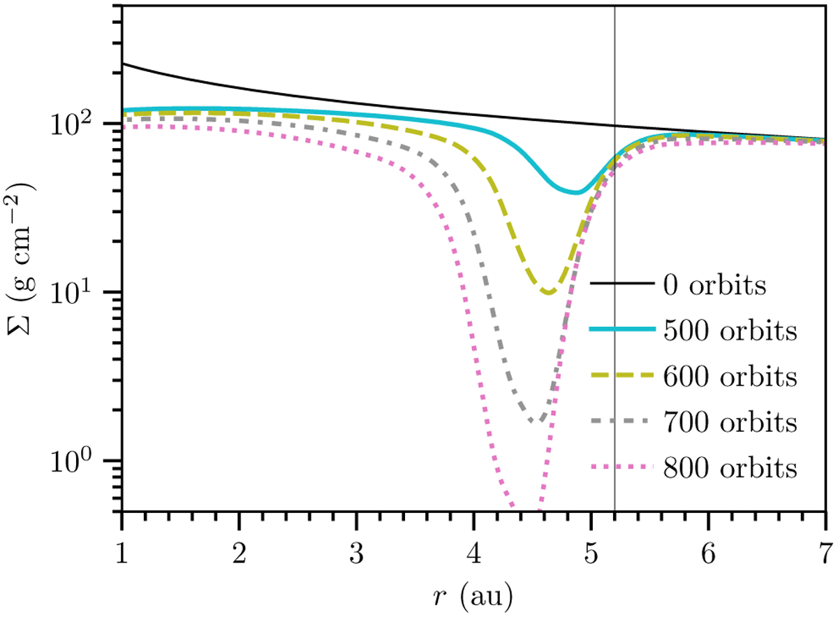
Surface density around an accreting, migrating planet at different times. At the beginning, the planet has a low mass (5 M⊕) and does not perturb the surface density appreciably. As the planet grows, it changes the surface density in its vicinity both by accreting gas and by pushing disc material away through tidal interaction. After 1000 orbits, the planet has migrated to ≈4.2 au, reached a mass of 1 and opened a gap in the disc. The planet’s initial location (5.2 au) is indicated with a thin black vertical line. This simulation is described in more detail in Sect. 4.1.
Current usage metrics show cumulative count of Article Views (full-text article views including HTML views, PDF and ePub downloads, according to the available data) and Abstracts Views on Vision4Press platform.
Data correspond to usage on the plateform after 2015. The current usage metrics is available 48-96 hours after online publication and is updated daily on week days.
Initial download of the metrics may take a while.