Fig. A.1

Download original image
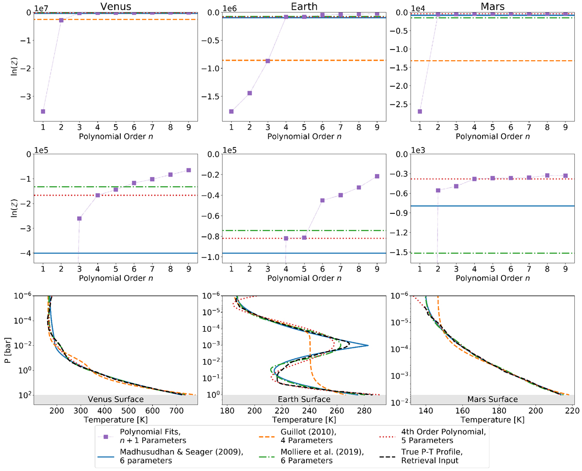
Results from the P–T model retrievals. The first row displays the log-evidence ln(Z) of the different models. The second row shows a zoomed in view of the high log-evidence region of the first row to allow for better comparison. The bottom row displays the retrieved best fit P–T profiles for the fourth order polynomial, the Madhusudhan & Seager (2009) model, and the two Guillot models (Guillot 2010; Mollière et al. 2019). The data for the true P–T profiles is taken from Fig. 1 in Mueller-Wodarg et al. (2008).
Current usage metrics show cumulative count of Article Views (full-text article views including HTML views, PDF and ePub downloads, according to the available data) and Abstracts Views on Vision4Press platform.
Data correspond to usage on the plateform after 2015. The current usage metrics is available 48-96 hours after online publication and is updated daily on week days.
Initial download of the metrics may take a while.