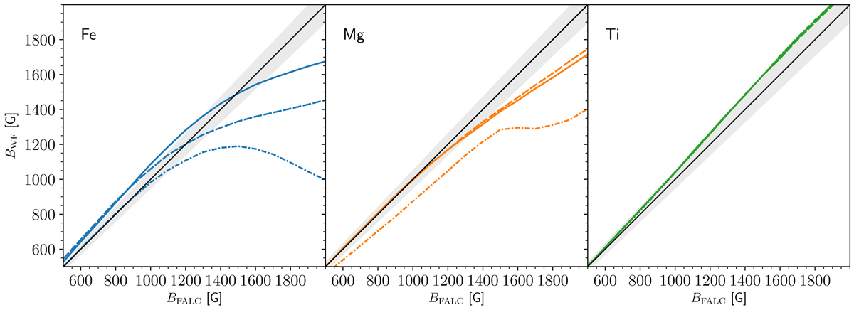
Fig. 4.

Download original image
Comparison between the LOS magnetic field retrieved from the WFA and the LOS field strength of the model for each spectral line separately. Three regimes of vertical plasma flow are presented: static atmosphere (full line), smooth velocity gradient (dashed line), and the velocity discontinuity at logτ ≈ −3 (dotted line). Shadowed region corresponds to the 5% uncertainty.
Current usage metrics show cumulative count of Article Views (full-text article views including HTML views, PDF and ePub downloads, according to the available data) and Abstracts Views on Vision4Press platform.
Data correspond to usage on the plateform after 2015. The current usage metrics is available 48-96 hours after online publication and is updated daily on week days.
Initial download of the metrics may take a while.