Fig. 5.

Download original image
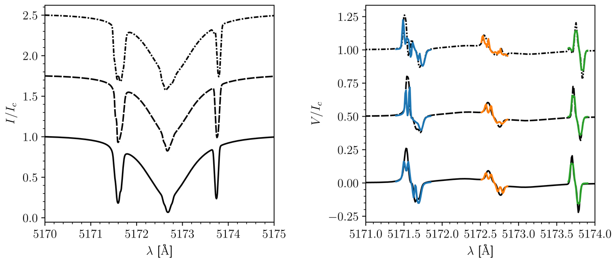
Stokes I and V line profiles from the FAL C model with the magnetic field strength of 1.6 kG. The profiles are given for different LOS velocity distributions: static atmosphere (full line), smooth velocity gradient (dashed), and the velocity discontinuity at logτ ≈ −3 (dashed-dotted). Colored profiles represent the best fit of Stokes V weak-field profiles for each line.
Current usage metrics show cumulative count of Article Views (full-text article views including HTML views, PDF and ePub downloads, according to the available data) and Abstracts Views on Vision4Press platform.
Data correspond to usage on the plateform after 2015. The current usage metrics is available 48-96 hours after online publication and is updated daily on week days.
Initial download of the metrics may take a while.