Open Access
Fig. D.3

Download original image
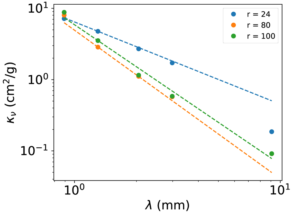
Absorption opacity at three different location (inner disk at 20 au, gap at 80 au and ring at 100 au) from the nonscattering model plotted as circles. The dashed lines represent the power-law from the parametric fit, with κabs = κ0(v/v0)β where we used κ0 = κ1.3mm from the physical model.
Current usage metrics show cumulative count of Article Views (full-text article views including HTML views, PDF and ePub downloads, according to the available data) and Abstracts Views on Vision4Press platform.
Data correspond to usage on the plateform after 2015. The current usage metrics is available 48-96 hours after online publication and is updated daily on week days.
Initial download of the metrics may take a while.