Fig. E.2

Download original image
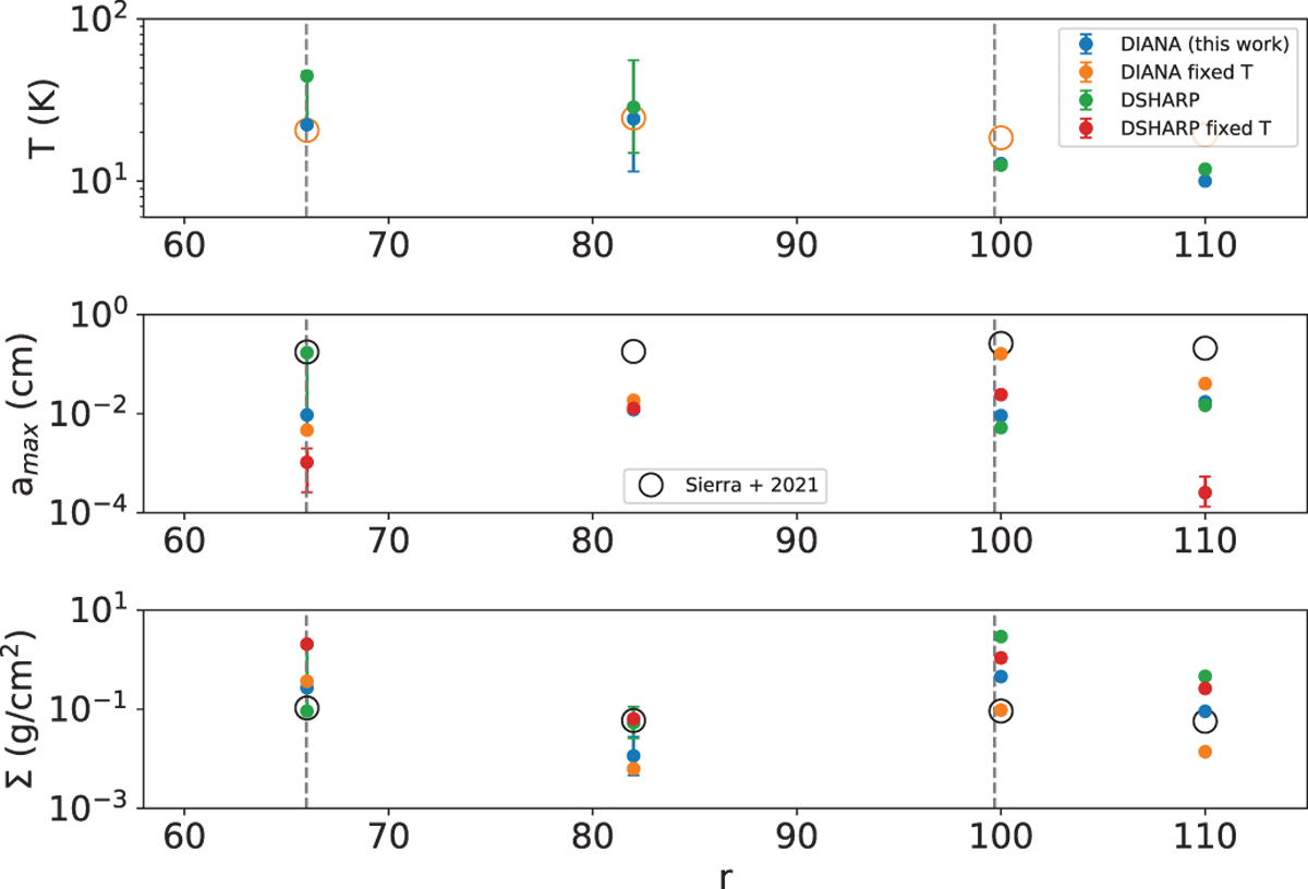
Comparison of the dust parameters in the outer disk estimated with a Monte Carlo nested sampling tool in the scattering case, using statistical error only and for a size distribution with q = 2.5. Empty markers represent the fixed Temperature n the upper panel, and the values of the best-fot parameters from Sierra et al. (2021) in the middle and bottom panel.
Current usage metrics show cumulative count of Article Views (full-text article views including HTML views, PDF and ePub downloads, according to the available data) and Abstracts Views on Vision4Press platform.
Data correspond to usage on the plateform after 2015. The current usage metrics is available 48-96 hours after online publication and is updated daily on week days.
Initial download of the metrics may take a while.