Open Access
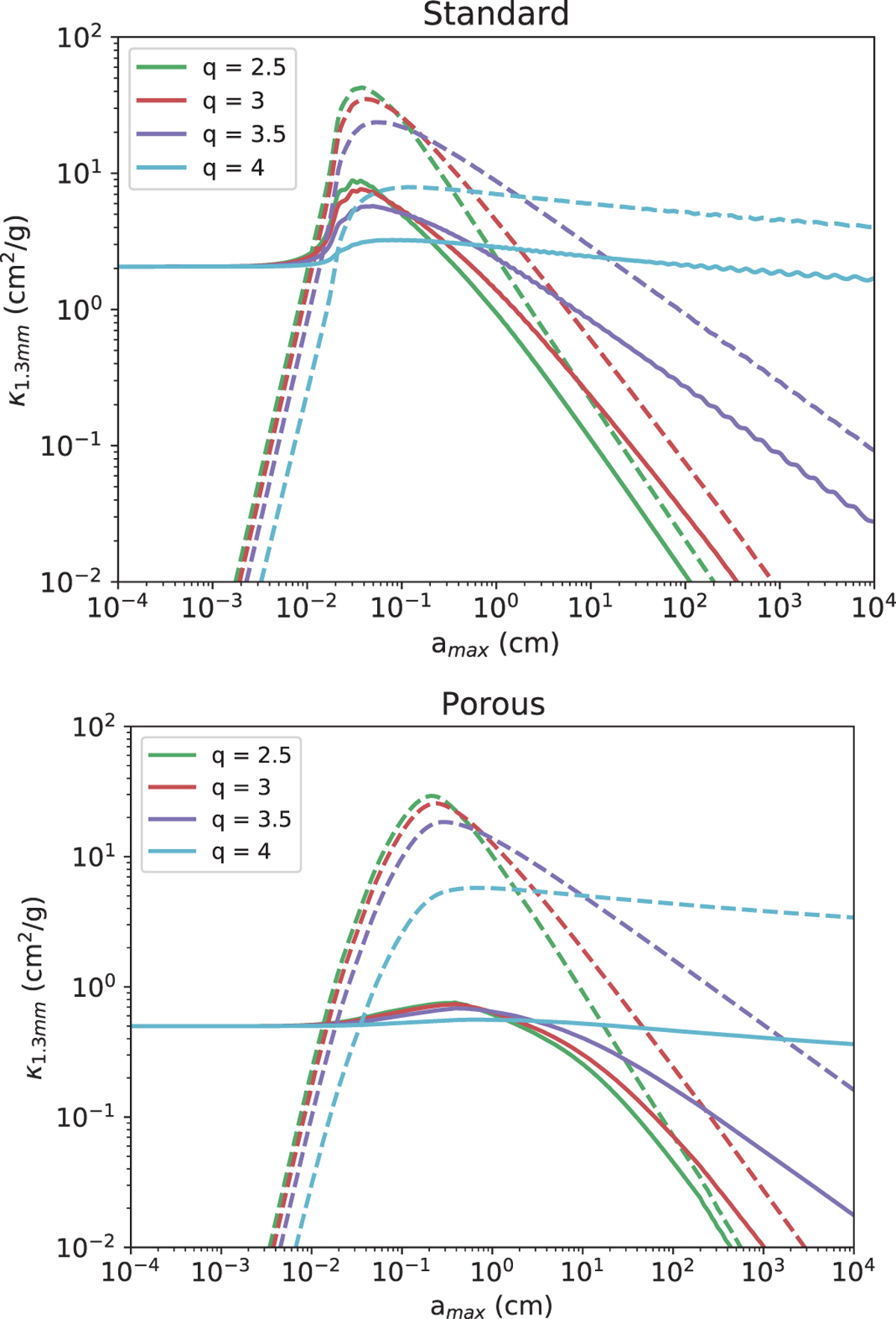
Fig. 4

Download original image
Dust opacity at 1.3 mm as a function of the maximum grain size. Upper panel: absorption (solid lines) and scattering (dashed lines) opacities for the standard dust composition and different size distribution q. Lower panel: same as the upper panel but for grains with a porosity of 80%.
Current usage metrics show cumulative count of Article Views (full-text article views including HTML views, PDF and ePub downloads, according to the available data) and Abstracts Views on Vision4Press platform.
Data correspond to usage on the plateform after 2015. The current usage metrics is available 48-96 hours after online publication and is updated daily on week days.
Initial download of the metrics may take a while.