Fig. 2

Download original image
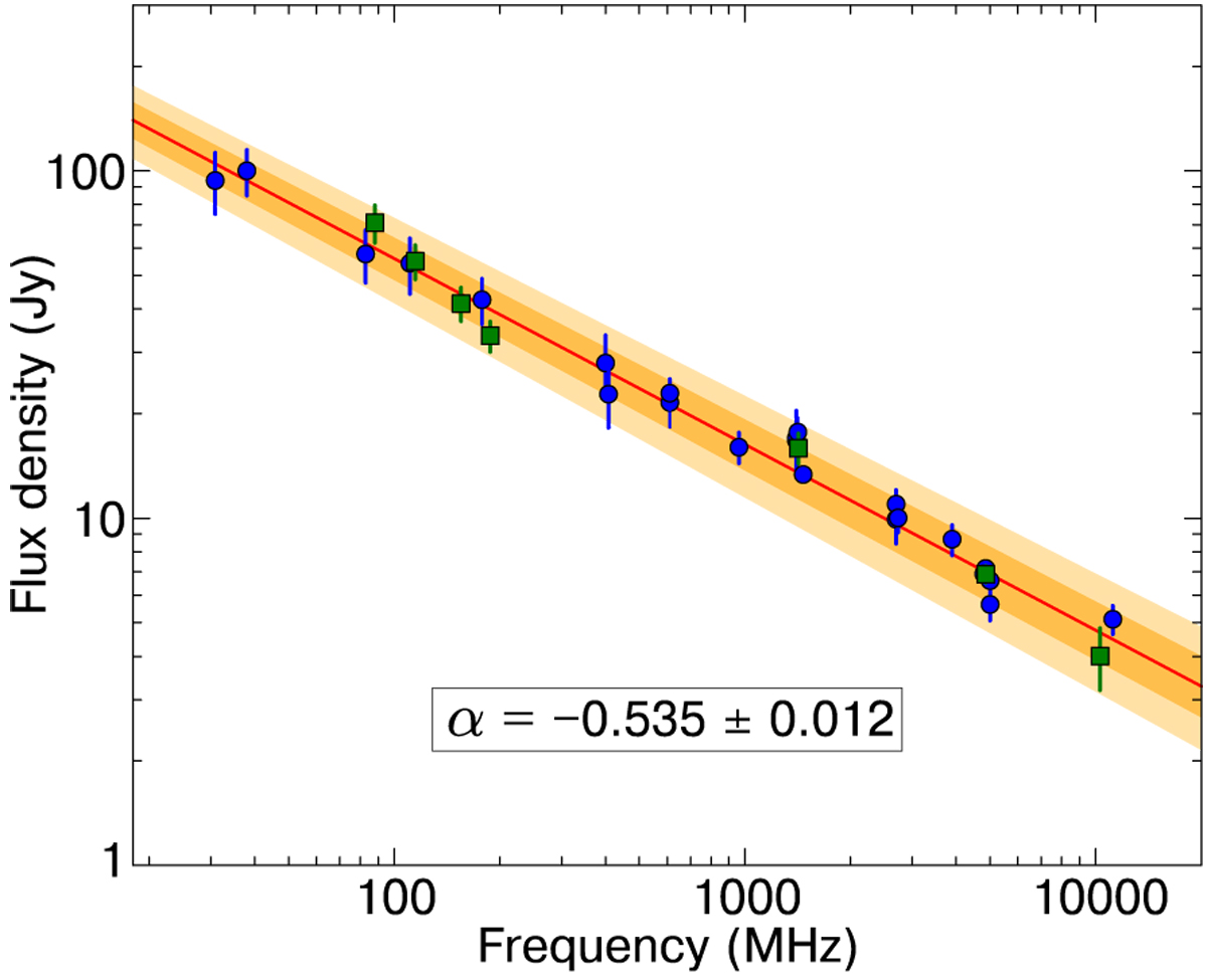
Updated integrated radio continuum spectrum of SNR G46.8–0.3 constructed using fluxes listed in Table 1. Blue circles correspond to fluxes extracted from the literature, whereas the green squares are our new measurements obtained from radio surveys (see text for details). The solid line is the best-fitting curve to the weighted data and yields a spectral index α = −0.535 ± 0.012 (Sv ∝ vα). Shaded regions represent the variation of the best-fit values at 1- and 2-σ levels.
Current usage metrics show cumulative count of Article Views (full-text article views including HTML views, PDF and ePub downloads, according to the available data) and Abstracts Views on Vision4Press platform.
Data correspond to usage on the plateform after 2015. The current usage metrics is available 48-96 hours after online publication and is updated daily on week days.
Initial download of the metrics may take a while.