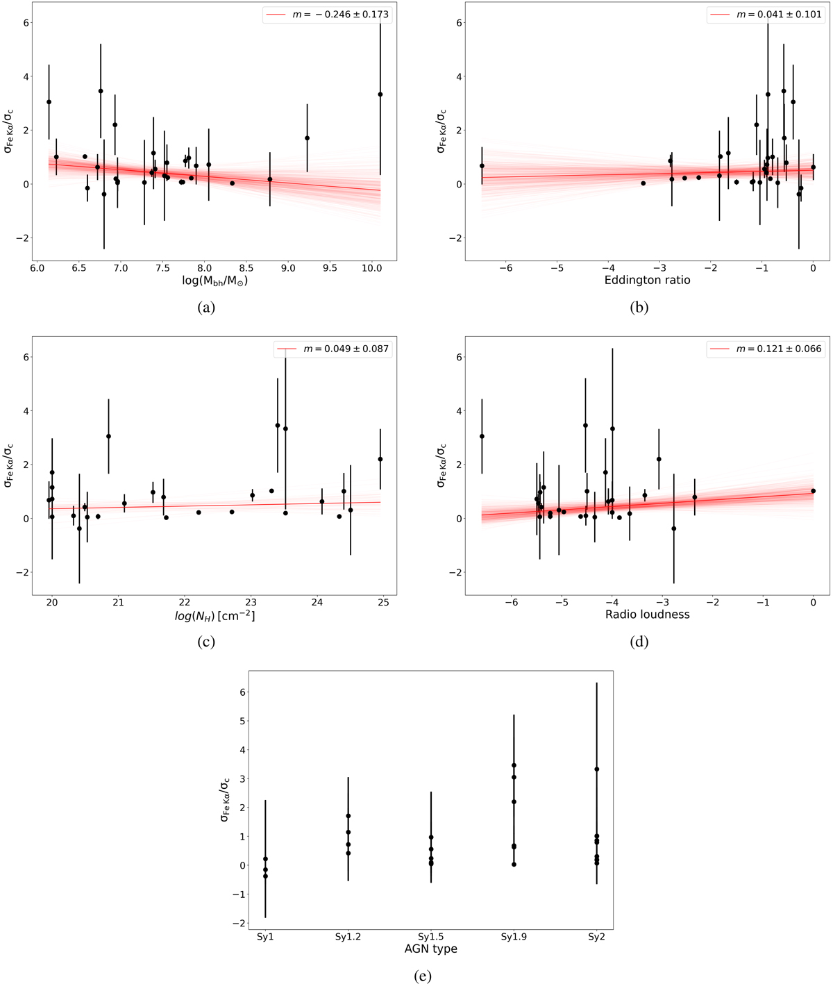
Fig. E.1.

Download original image
Comparison of the σFe Kα/σc slopes with respect to (a) SMBH MBH, (b) Eddington ratio, (c) line-of-sight column density, (d) radio-loudness, and (e) AGN type. For the first five plots, the thick red line denotes the best-fit linear regression, while thin red lines denote fits from Monte Carlo resampling to estimate uncertainties; the best-fit slope and error are indicated in the legend of each plot.
Current usage metrics show cumulative count of Article Views (full-text article views including HTML views, PDF and ePub downloads, according to the available data) and Abstracts Views on Vision4Press platform.
Data correspond to usage on the plateform after 2015. The current usage metrics is available 48-96 hours after online publication and is updated daily on week days.
Initial download of the metrics may take a while.