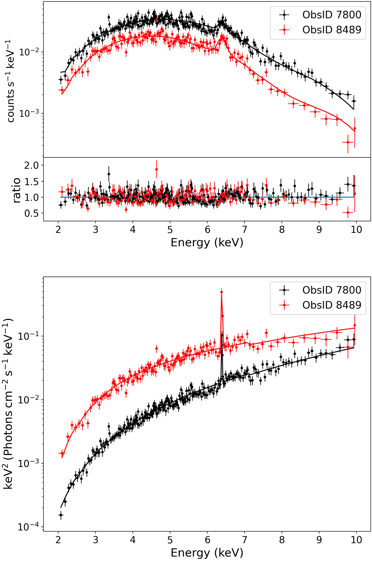
Fig. 2.

Download original image
2–10 keV spectra of the Type 2 AGN Centaurus A, extracted and aperture-corrected from 3″–5″ annuli in ACIS-I ObsIDs 7800 (black) and 8489 (red), fitted by the model described in Eq. (1). The top panel shows the spectra and model-to-data ratio in instrument units while the bottom panel shows the unfolded spectra. The spectra are attenuated by strong absorption. The sole emission line is the 6.4 keV Fe Kα line.
Current usage metrics show cumulative count of Article Views (full-text article views including HTML views, PDF and ePub downloads, according to the available data) and Abstracts Views on Vision4Press platform.
Data correspond to usage on the plateform after 2015. The current usage metrics is available 48-96 hours after online publication and is updated daily on week days.
Initial download of the metrics may take a while.