Fig. 1.

Download original image
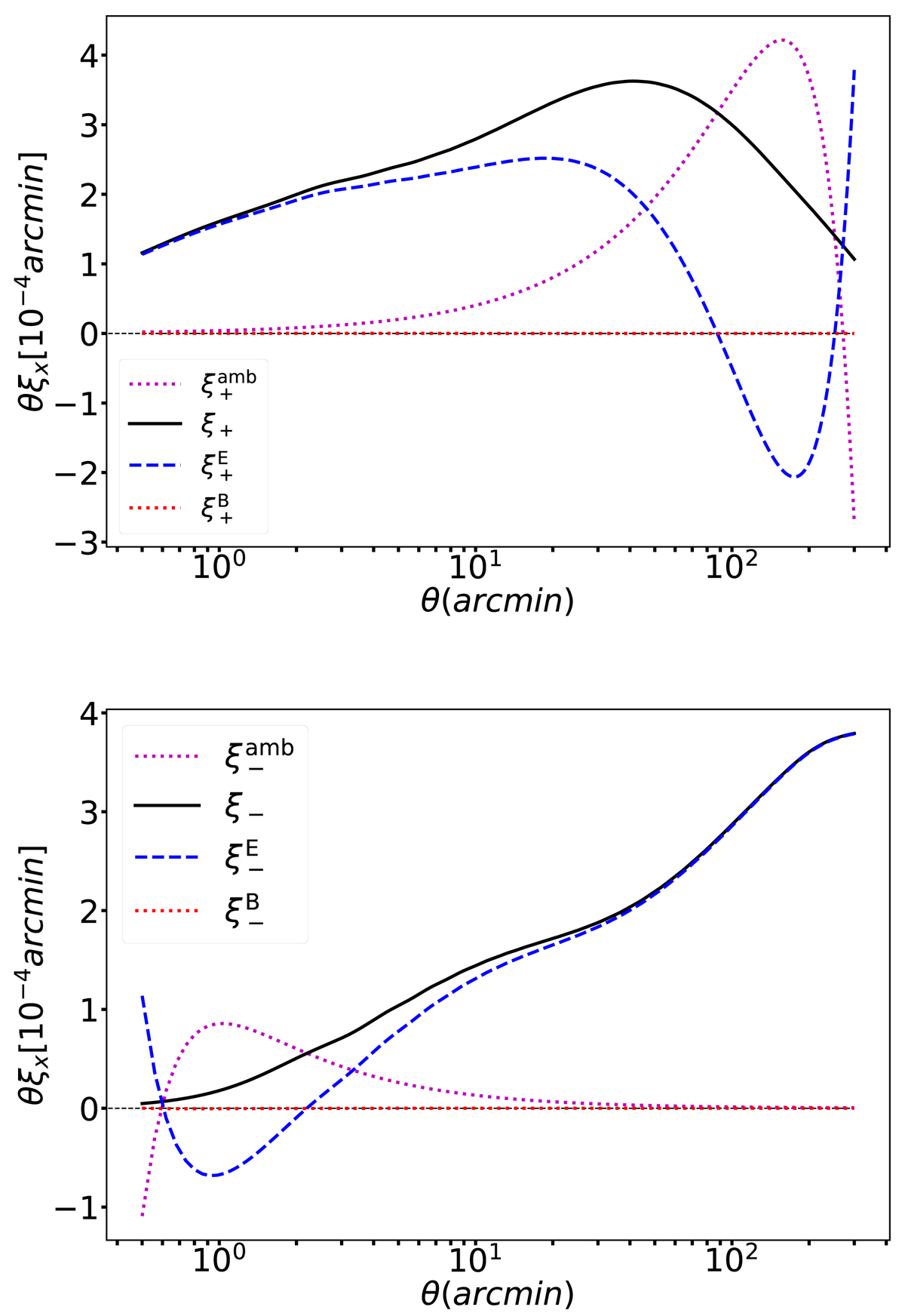
Decomposition of the shear correlation functions ξ+(θ) (upper panel) and ξ−(ϑ) (lower panel) into pure E modes (dashed blue curves) and ambiguous modes (dotted magenta curves). The latter are quadratic functions of θ and 1/θ for ξ+ and ξ−, respectively. We note that due to the absence of B-mode shear assumed for this plot. Here, we chose ϑmin = 0′.5 and ϑmax = 300′, and the correlation functions ξ± were calculated for a standard cosmological model fitted to the KiDS-1000 cosmic shear data (see Table 1). The source redshift distribution corresponds to the highest tomographic bin of the KiDS-1000 data.
Current usage metrics show cumulative count of Article Views (full-text article views including HTML views, PDF and ePub downloads, according to the available data) and Abstracts Views on Vision4Press platform.
Data correspond to usage on the plateform after 2015. The current usage metrics is available 48-96 hours after online publication and is updated daily on week days.
Initial download of the metrics may take a while.