Fig. 2.

Download original image
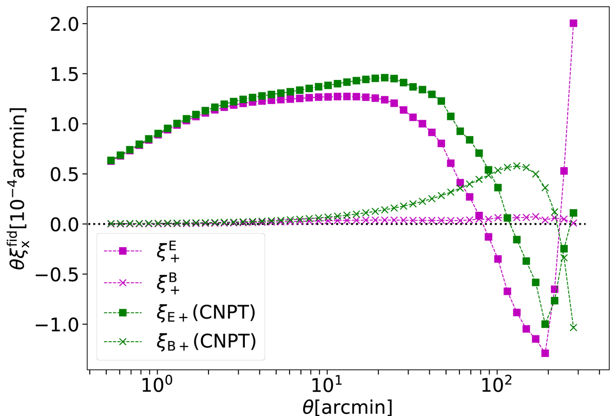
Measured E- and B-mode correlation functions from SLICS simulations. Both E modes (squares) and B modes (crosses) are averaged over ten shape-noise-free lines-of-sight. The pure-mode correlation functions (magenta) are insensitive to information outside of the defined angular separation range, [0′.5, 300′]. The CNPT correlation functions (green) include ambiguous modes and information from outside of the measured range.
Current usage metrics show cumulative count of Article Views (full-text article views including HTML views, PDF and ePub downloads, according to the available data) and Abstracts Views on Vision4Press platform.
Data correspond to usage on the plateform after 2015. The current usage metrics is available 48-96 hours after online publication and is updated daily on week days.
Initial download of the metrics may take a while.