Fig. 3.

Download original image
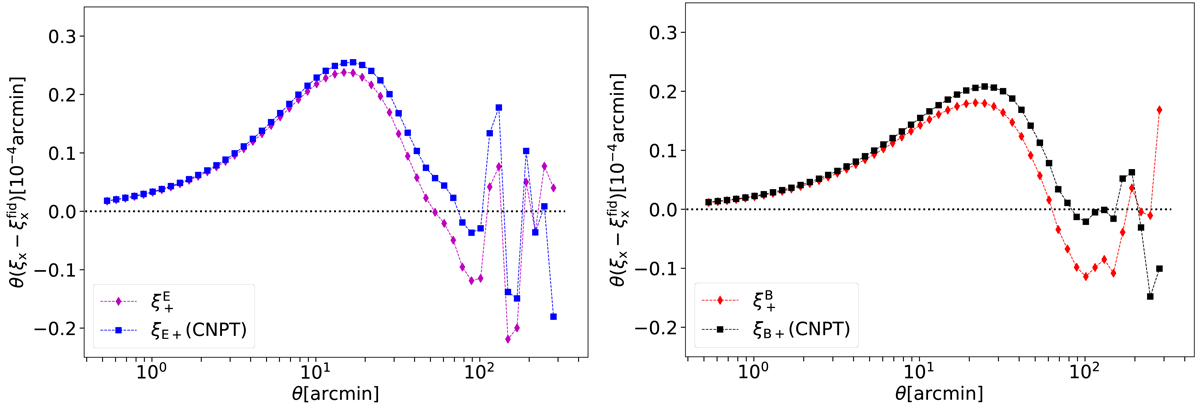
Comparison between the CNPT and pure-mode correlation functions on systematic-induced mock data, averaged over ten shape-noise-free lines-of-sight. The point-spread function leakage as modeled by Asgari et al. (2019) is used here. The fiducial no-systematic signal is subtracted from the systematic-induced ones. All measurements are done for 50 logarithmic bins between 0.5 and 300 arcmin.
Current usage metrics show cumulative count of Article Views (full-text article views including HTML views, PDF and ePub downloads, according to the available data) and Abstracts Views on Vision4Press platform.
Data correspond to usage on the plateform after 2015. The current usage metrics is available 48-96 hours after online publication and is updated daily on week days.
Initial download of the metrics may take a while.