Open Access
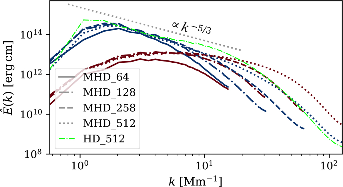
Fig. 9.

Download original image
Comparison between the power spectra of the turbulent kinetic energy (blue) and magnetic energy (red), and
, for the four magneto-hydrodynamical (MHD) simulations after saturation of the magnetic field. The average quasi-steady state kinetic energy power spectrum for the hydrodynamical simulation HD_512 is shown in green.
Current usage metrics show cumulative count of Article Views (full-text article views including HTML views, PDF and ePub downloads, according to the available data) and Abstracts Views on Vision4Press platform.
Data correspond to usage on the plateform after 2015. The current usage metrics is available 48-96 hours after online publication and is updated daily on week days.
Initial download of the metrics may take a while.