Free Access

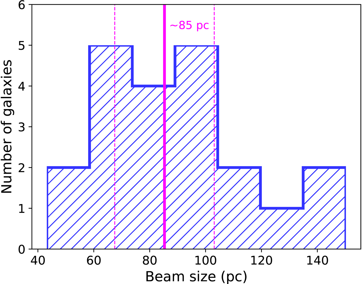
Fig. 3.

image

Download original image

Histogram showing the distribution in physical scales (parsecs) of the size of the beam for the galaxies of the sample. The median and MAD values (solid and dashed magenta lines, respectively) correspond to 85 ± 18 pc.

Current usage metrics show cumulative count of Article Views (full-text article views including HTML views, PDF and ePub downloads, according to the available data) and Abstracts Views on Vision4Press platform.

Data correspond to usage on the plateform after 2015. The current usage metrics is available 48-96 hours after online publication and is updated daily on week days.

Initial download of the metrics may take a while.