Fig. B.1

Download original image
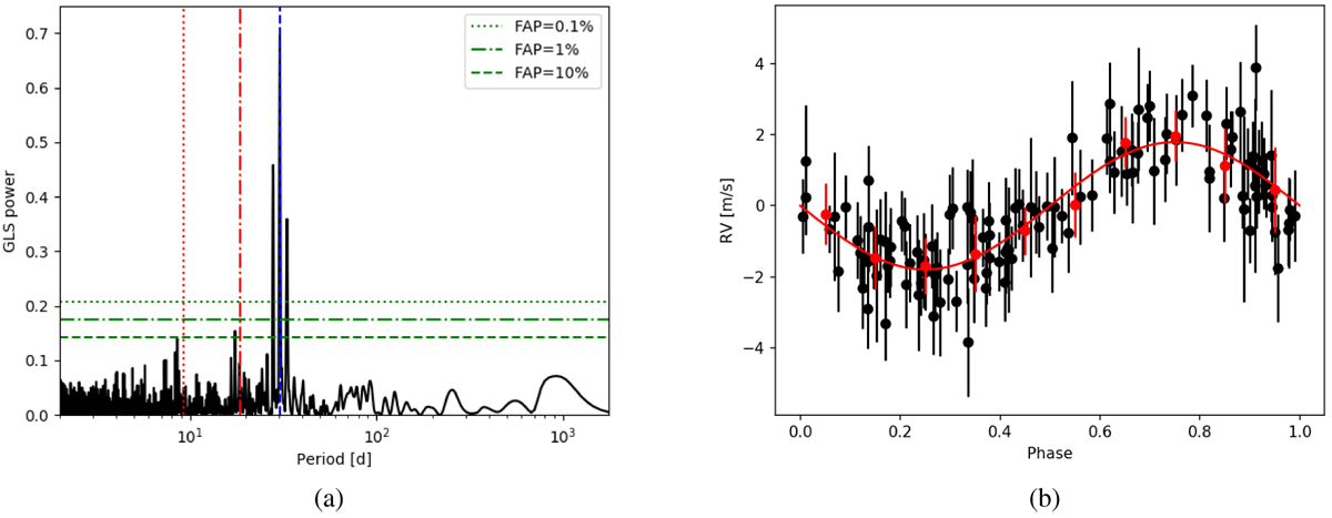
Planetary candidate in the GJ 21 system. a) GLS periodogram of the RV time-series after subtracting the Base Model and the GP activity signal. The vertical blue dashed line marks the orbital period of the candidate, while the vertical red dot-dashed and dotted lines show the stellar rotation period and its first harmonic, respectively. b) Phase-folded for the RV curve of the planetary candidate. The red solid line represents the best-fit Keplerian model, while the red circles indicates the binned RVs with the corresponding rms.
Current usage metrics show cumulative count of Article Views (full-text article views including HTML views, PDF and ePub downloads, according to the available data) and Abstracts Views on Vision4Press platform.
Data correspond to usage on the plateform after 2015. The current usage metrics is available 48-96 hours after online publication and is updated daily on week days.
Initial download of the metrics may take a while.