Open Access

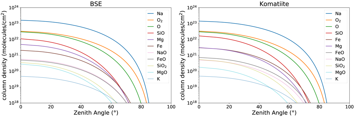
Fig. 8

image

Download original image

Column density of various species as a function of the zenith angle of the planet for a Bulk-Silicate-Earth composition (left panel) and a komitiite composition (right panel) based on calculations in Miguel et al. (2011). The temperature as a function of zenith angle assumed for this plot is based on the our best fit model presented in Kreidberg & Loeb (2016) without heat redistribution (F = 0). It assumes that the temperature at the substellar point is K at a zenith angle of z = 90°, with S being the insolation, AB the Bond albedo and σ the Stefan–Boltzmann constant. The species in the legend are sorted by the column density at the substellar point in descending order.

Current usage metrics show cumulative count of Article Views (full-text article views including HTML views, PDF and ePub downloads, according to the available data) and Abstracts Views on Vision4Press platform.

Data correspond to usage on the plateform after 2015. The current usage metrics is available 48-96 hours after online publication and is updated daily on week days.

Initial download of the metrics may take a while.