Fig. 9

Download original image
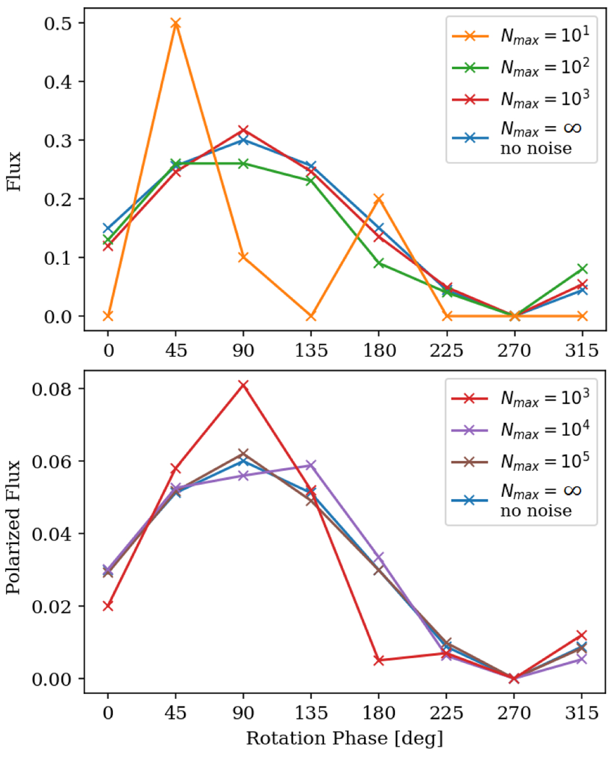
Total (top) and polarized (bottom) flux curves at various noise levels. The number of photons that represents a total flux equal to 1.0 (a white Lambertian planet at α = 0°) is Nmax; the range of Nmax used for the polarized flux differs from that used for the total flux, because the former is generally smaller than the latter (cf. Fig. 7) and thus more sensitive to noise. The curves labeled “no noise” (Nmax = ∞) are sine functions with similar amplitudes as the curves in Fig. 7.
Current usage metrics show cumulative count of Article Views (full-text article views including HTML views, PDF and ePub downloads, according to the available data) and Abstracts Views on Vision4Press platform.
Data correspond to usage on the plateform after 2015. The current usage metrics is available 48-96 hours after online publication and is updated daily on week days.
Initial download of the metrics may take a while.