Open Access

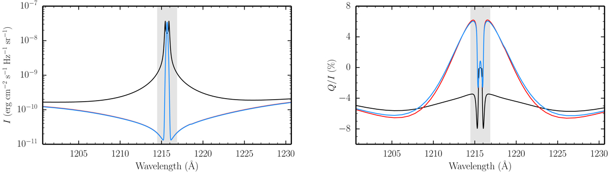
Fig. B.4.

image

Download original image

Stokes I (left panel) and Q/I (right panel) profiles as a function of wavelength obtained through the RT calculations described in the text in the absence of a magnetic field. Reference PRD calculations (black curves) are compared to those in which scattering is treated as fully coherent in the observer’s reference frame (neglecting Doppler and collisional redistribution; see text), both accounting for the contribution from elastic collisions to the damping constant (blue curves) and neglecting it (red curves).

Current usage metrics show cumulative count of Article Views (full-text article views including HTML views, PDF and ePub downloads, according to the available data) and Abstracts Views on Vision4Press platform.

Data correspond to usage on the plateform after 2015. The current usage metrics is available 48-96 hours after online publication and is updated daily on week days.

Initial download of the metrics may take a while.