Free Access

Fig. 17

image

Download original image

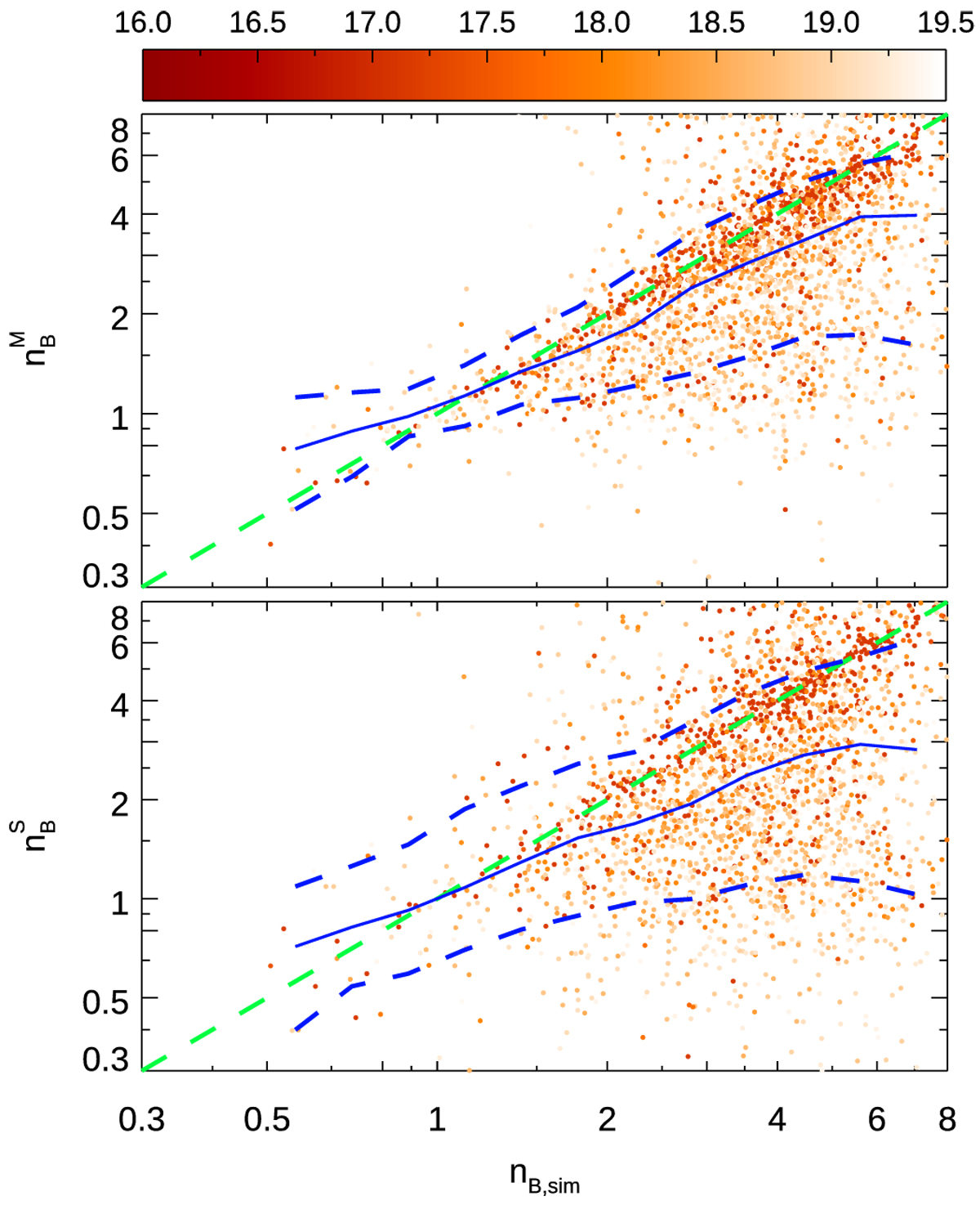
Comparison of input (x axis) and output (y axis) Sérsic index values, nB, for galaxies at mr,B+D,Sim < 19.5 mag from multi-band fits (top) and single-band fits (bottom). Darker colours are used to indicate brighter objects, with 16 < mr,B+D,Sim < 19.5 mag. Blue lines indicate median and 16/84 percentiles, and the green line represents a one-to-one line that indicates perfect fits.

Current usage metrics show cumulative count of Article Views (full-text article views including HTML views, PDF and ePub downloads, according to the available data) and Abstracts Views on Vision4Press platform.

Data correspond to usage on the plateform after 2015. The current usage metrics is available 48-96 hours after online publication and is updated daily on week days.

Initial download of the metrics may take a while.