Fig. A.3

Download original image
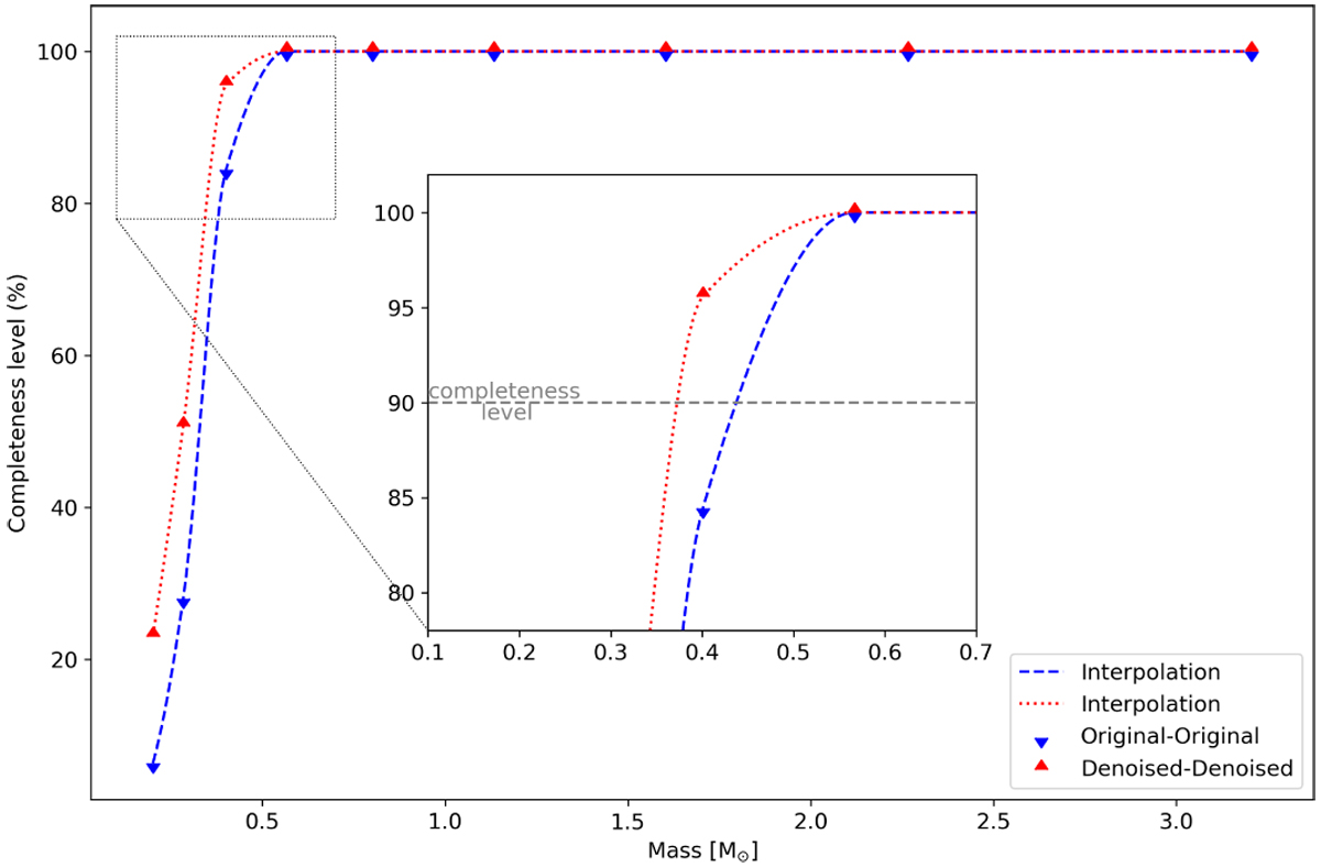
Completeness levels of the core samples of the original and denoised catalogs obtained by getsf, excluding badly detected and badly measured sources. Data points were interpolated using the Piecewise Cubic Hermite Interpolating Polynomial method. The core content is 90% complete down to ~0 44 M⊙ and ~0 37 M⊙ for the original and denoised images, respectively, which correspond to an improvement of ~16% in mass completeness.
Current usage metrics show cumulative count of Article Views (full-text article views including HTML views, PDF and ePub downloads, according to the available data) and Abstracts Views on Vision4Press platform.
Data correspond to usage on the plateform after 2015. The current usage metrics is available 48-96 hours after online publication and is updated daily on week days.
Initial download of the metrics may take a while.