Fig. 2

Download original image
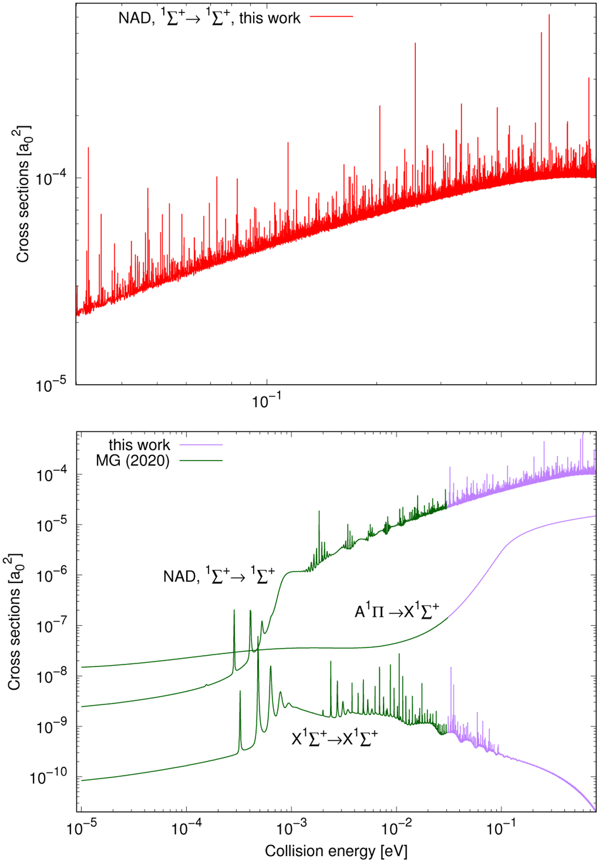
Cross sections for formation of NaCl by radiative association. Top: the cross section for the 1Σ+ → 1Σ+ process is depicted from 0.03 eV to 0.8 eV with dEi = 10−5 eV. It takes the nonadiabatic coupling into account. Bottom: the cross sections are depicted from 10−5 eV to 0.8 eV for three different processes: 1Σ+ → 1Σ+, Α1Π → Χ1Σ+, and Χ1Σ+ → Χ1 Σ+. The green lines represent cross sections up to 0.03 eV taken from Gustafsson (2020). The purple lines represent cross sections calculated here. NAD denotes nonadiabatic dynamics. MG (2020) denotes Gustafsson (2020). A logarithmic scale is used on the x- and y-axes.
Current usage metrics show cumulative count of Article Views (full-text article views including HTML views, PDF and ePub downloads, according to the available data) and Abstracts Views on Vision4Press platform.
Data correspond to usage on the plateform after 2015. The current usage metrics is available 48-96 hours after online publication and is updated daily on week days.
Initial download of the metrics may take a while.