Fig. 2

Download original image
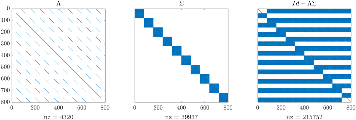
Sparsity patterns of Λ, Σ, and Id – ΛΣ using Ns = 10, Nθ = 2, Nχ = 1, and Νν = 10, i.e., N2 = 8002 = 6.4 × 105 elements. The corresponding number of nonzero elements (nz) is reported. The elements in the lower and upper triangular parts of Id – ΛΣ correspond to downward (negative µ) and upward (positive µ) directions, respectively.
Current usage metrics show cumulative count of Article Views (full-text article views including HTML views, PDF and ePub downloads, according to the available data) and Abstracts Views on Vision4Press platform.
Data correspond to usage on the plateform after 2015. The current usage metrics is available 48-96 hours after online publication and is updated daily on week days.
Initial download of the metrics may take a while.