Fig. 7

Download original image
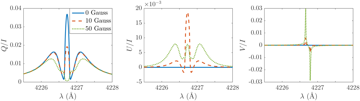
Emergent Q/I (left panel), U/I (middle panel), and V/I (right panel) profiles calculated in the FAL-C atmospheric model (Ns = 70), with Νθ = 12, Nχ = 8, and Νν = 99, for the LOS with . A magnetic field of various intensities (0 G, 10 G, and 50 G) and direction (θΒ, χΒ) = (π/2, 0) is considered. The reference direction for positive Q is taken parallel to the x-y plane (see Fig. 1). The PGMRES solver converges in five iterations.
Current usage metrics show cumulative count of Article Views (full-text article views including HTML views, PDF and ePub downloads, according to the available data) and Abstracts Views on Vision4Press platform.
Data correspond to usage on the plateform after 2015. The current usage metrics is available 48-96 hours after online publication and is updated daily on week days.
Initial download of the metrics may take a while.