Open Access
Fig. 8

Download original image
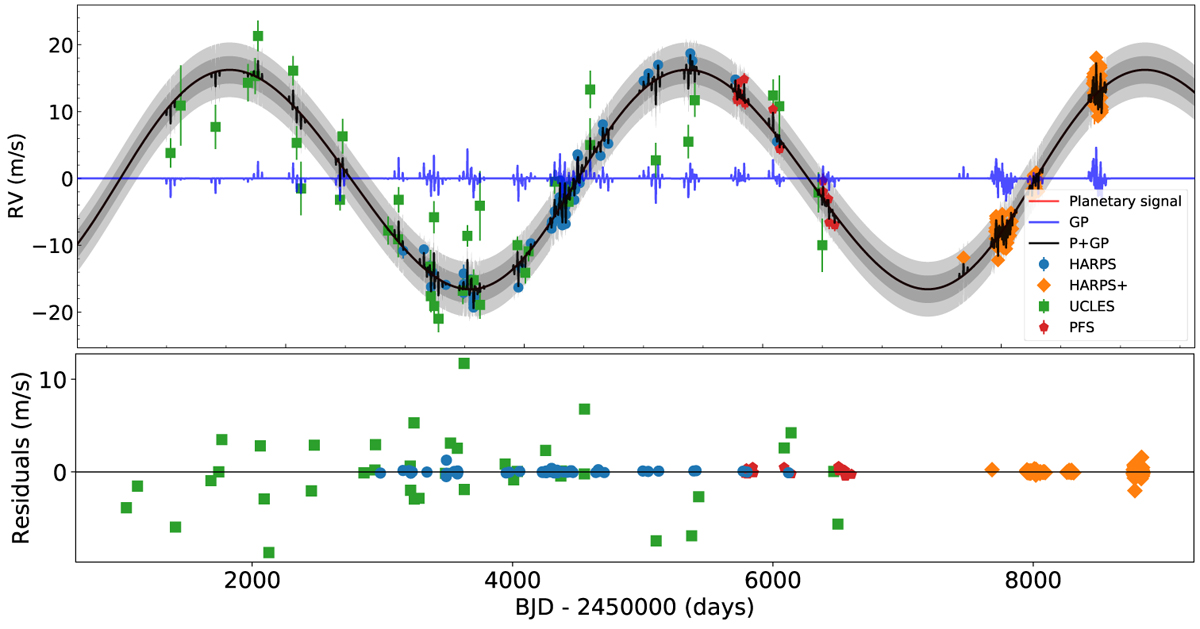
1-Keplerian with GP orbital model for GJ 832 using HARPS (blue), HARPS+ (orange), UCLES (green), and PFS (red) datasets. Top panel: best fit for the planetary signal and GP (black solid line). The dark grey shaded regions correspond to the 1-and 2-σ credible intervals, respectively. Bottom panel: residual of the model.
Current usage metrics show cumulative count of Article Views (full-text article views including HTML views, PDF and ePub downloads, according to the available data) and Abstracts Views on Vision4Press platform.
Data correspond to usage on the plateform after 2015. The current usage metrics is available 48-96 hours after online publication and is updated daily on week days.
Initial download of the metrics may take a while.