Free Access
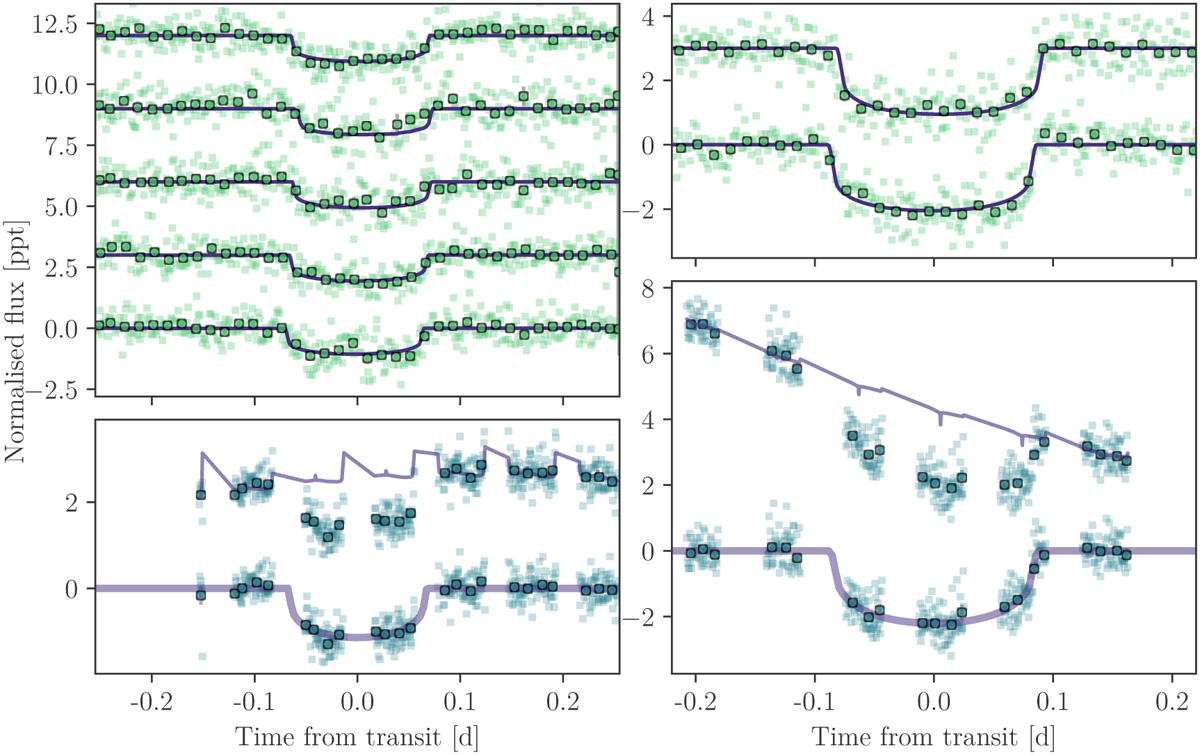
Fig. 3

Download original image
TESS (upper panels) and CHEOPS (lower panels) individual transits of planets b and c. In the two lower panels, we show both the extracted CHEOPS flux with the best-fit decorrelation model (offset above), and the detrended CHEOPS flux with the best-fit transit model (below).
Current usage metrics show cumulative count of Article Views (full-text article views including HTML views, PDF and ePub downloads, according to the available data) and Abstracts Views on Vision4Press platform.
Data correspond to usage on the plateform after 2015. The current usage metrics is available 48-96 hours after online publication and is updated daily on week days.
Initial download of the metrics may take a while.