Open Access

Fig. 10

image

Download original image

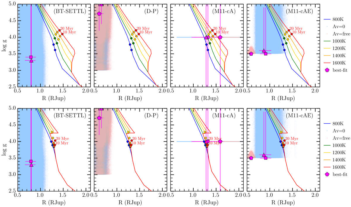
Comparison of the solutions for the different models of atmosphere (left: BT-SETTL, middle left: DRIFT-PHOENIX, middle right: M11 cloud-A, and right: M11 cloud-AE) and models of evolution (top panel: BEX-Hot and bottom panel: BEX-Warm). As for the atmospheric models, the best-fit solutions are shown in pink, with a pentagon if the optical extinction AV = 0, a square if the extinction is a free parameter, and a triangle if there is an additional blackbody fitted; the samples of solutions are in red if the extinction AV = 0 and in blue if the extinction is a free parameter. For the evolutionary models, the solid curves represent the surface gravity as a function of the planetary radius given different effective temperature (blue for the coolest to red for the hottest). The colored circles represent the expected log g and R at a given age (10 or 20 Myr): hence lower and upper values expected for HD 95086 aged 13.3 Myr.

Current usage metrics show cumulative count of Article Views (full-text article views including HTML views, PDF and ePub downloads, according to the available data) and Abstracts Views on Vision4Press platform.

Data correspond to usage on the plateform after 2015. The current usage metrics is available 48-96 hours after online publication and is updated daily on week days.

Initial download of the metrics may take a while.