Fig. 4.

Download original image
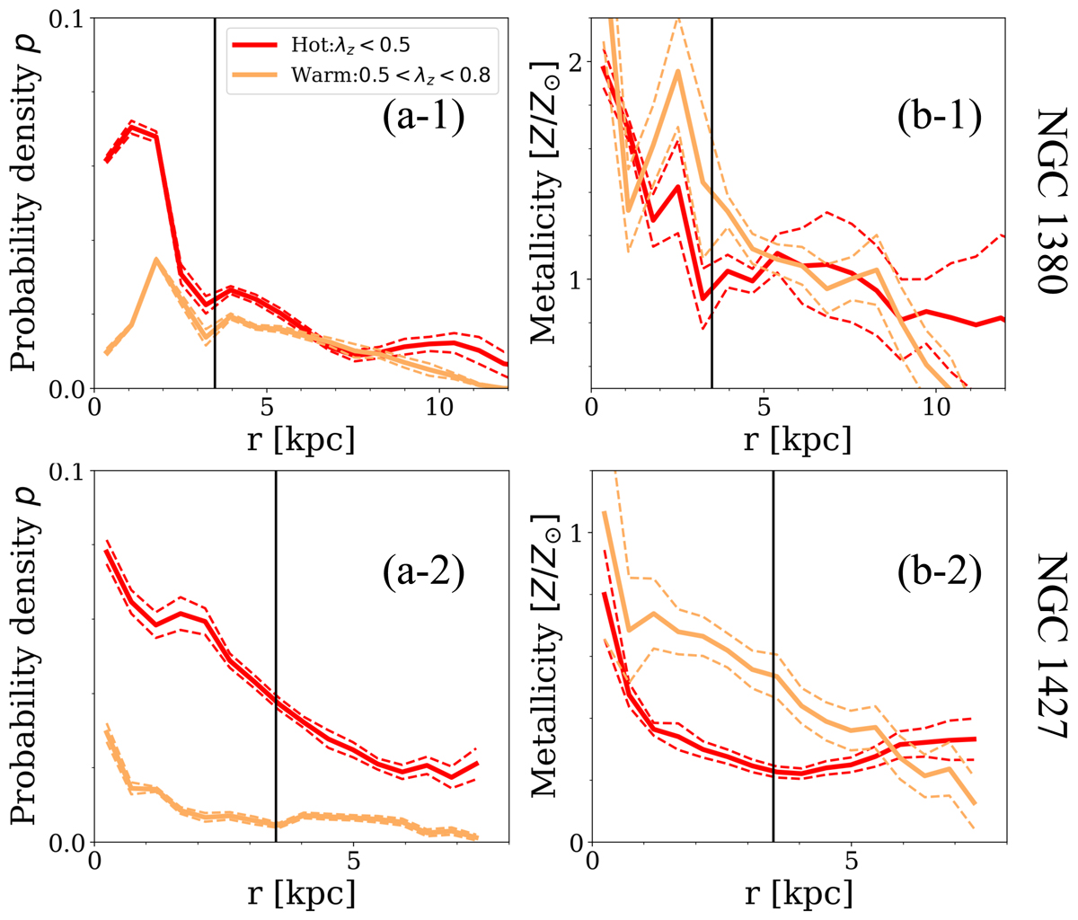
Probability density and metallicity profiles. Panel a-1: probability density of dynamically hot orbits with λz < 0.5 (red) and warm orbits with 0.5 < λz < 0.8 (orange) as a function of radius for NGC 1380. The red and orange thick and dashed curves are the mean and 1σ scatter of our best fitting models. The vertical line at r = 3.5 kpc marks the separation of the bulge from the hot inner stellar halo. Panel b-1: metallicity distribution of hot and warm orbits as a function of radius for NGC 1380. Panels a-2 and b-2: same but for NGC 1427.
Current usage metrics show cumulative count of Article Views (full-text article views including HTML views, PDF and ePub downloads, according to the available data) and Abstracts Views on Vision4Press platform.
Data correspond to usage on the plateform after 2015. The current usage metrics is available 48-96 hours after online publication and is updated daily on week days.
Initial download of the metrics may take a while.