Fig. 6.

Download original image
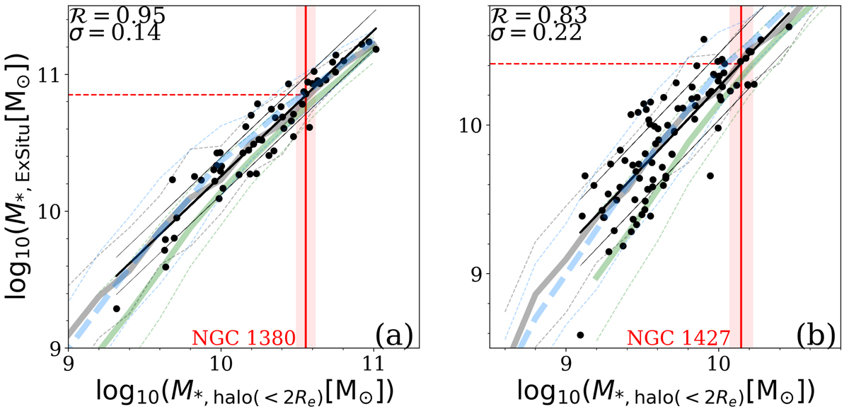
Stellar mass accreted from all galaxies ever merged with NGC 1380 and NGC 1427, i.e., their total ex situ mass. Panel a: same as panel a of Fig. 5, but with stellar mass M*, ExSitu accreted from all satellites on the y axis. The black dots are the subsample of TNG50 galaxies with similar mass and size as NGC 1380. The correlation is stronger, with larger values of the Pearson correlation coefficients, ℛ, and smaller 1σ scatter than the correlation in Fig. 5. The vertical red line with shadows marks the mass and corresponding ±1σ uncertainty of NGC 1380’s hot inner stellar halo. The horizontal dashed line marks the stellar mass accreted from all satellites inferred from the correlations. The thick and thin curves in gray, blue, and green in the background are the running median and ±1σ scatter of the whole sample of TNG50, TNG100, and EAGLE galaxies. Panel b: same as panel a but for NGC 1427.
Current usage metrics show cumulative count of Article Views (full-text article views including HTML views, PDF and ePub downloads, according to the available data) and Abstracts Views on Vision4Press platform.
Data correspond to usage on the plateform after 2015. The current usage metrics is available 48-96 hours after online publication and is updated daily on week days.
Initial download of the metrics may take a while.