Fig. 4

Download original image
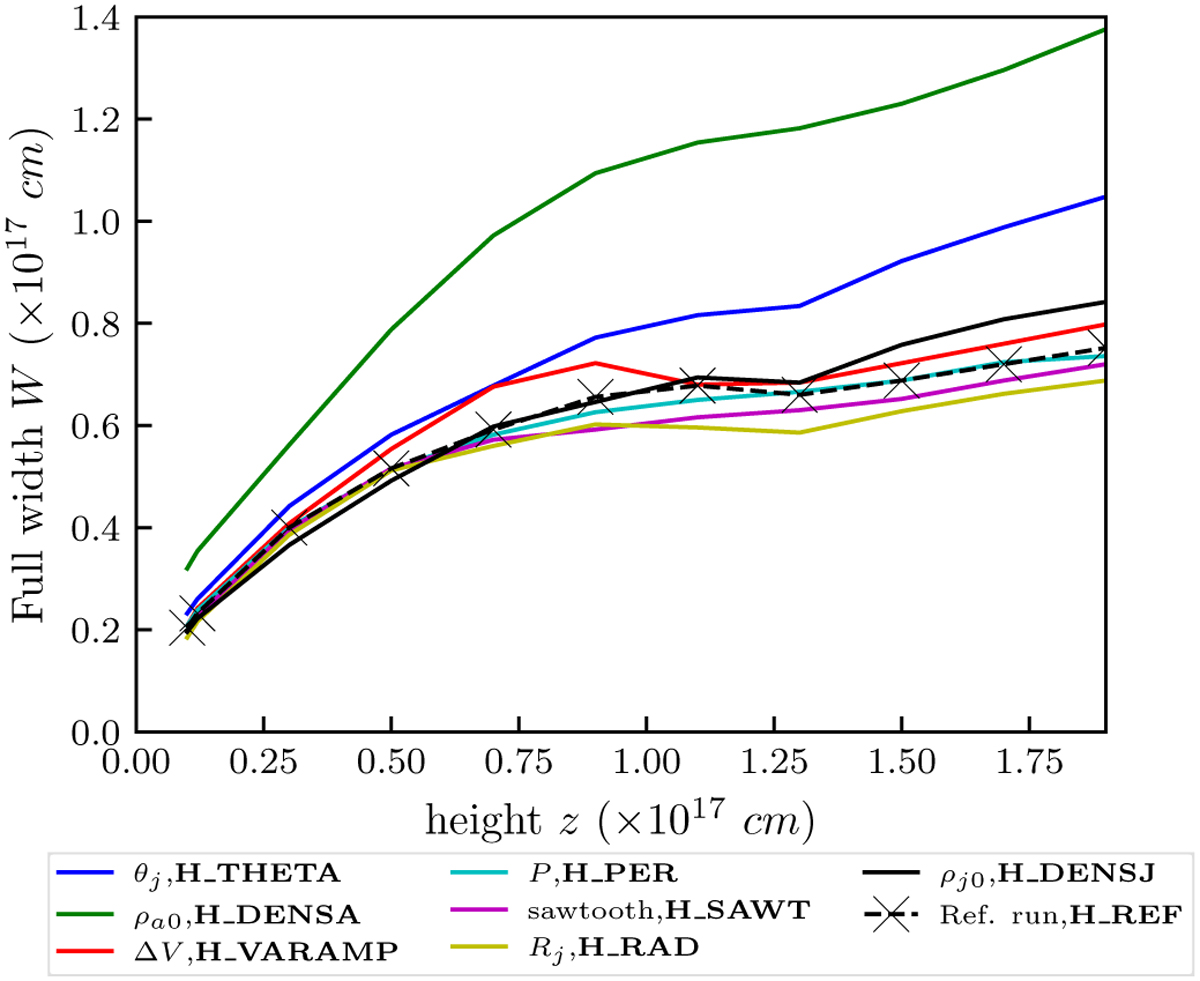
Full shell width W(z) at t = 700 yr as a function of altitude. z, for the high-density jet models in Fig. 3. Colored curves have one parameter varied from the reference run, from among the ambient core base density ρa0, jet semi-opening angle θj, initial jet base density ρj0. semi-amplitude of variability ∆V, period P, variability profile (sawtooth instead of sinusoidal), or jet radius Rj. Model parameter values are listed in Table 2. The covered measurements range from z ~ 800 au to z~ 12700au.
Current usage metrics show cumulative count of Article Views (full-text article views including HTML views, PDF and ePub downloads, according to the available data) and Abstracts Views on Vision4Press platform.
Data correspond to usage on the plateform after 2015. The current usage metrics is available 48-96 hours after online publication and is updated daily on week days.
Initial download of the metrics may take a while.